Chapter 9

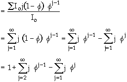
Derive: Mun

  

Let (j–1) =   \  j = + 1                                               

                         

Back to Chapter 9