Chapter 1

PFR Derivation

General Mole Balance on System Volume V






Steady State




Differentiate with respect to V




 
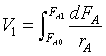
Rearranging and integrating between
   V = 0, FA = FA0
   V = V1, FA = FA1
We obtain

Multiplying by -1 and switching the limits of integration

This equation gives the PFR Volume, V1 necessary to reduce the entering molar feed rate from FA0 to the exit molar feed rate FA1 by chemical reaction.

Back to Chapter 1