Chapter 1

PBR Derivation


General Balance on W





Steady State




Differentiate with respect to W and rearrange


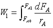
Rearranging and integrating between
   W = 0, FA = FA0
   W = W1, FA = FA1
We obtain

Multiplying by -1 and switching the limits of integration

The equation gives the catalyst weight necessary to reduce the entering flow rate from FA0 to FA1 by chemical reaction.
 

Back to Chapter 1