Chapter 3 Self Test

Crickets

The following sound of chirping crickets was recorded in the woods during the summer evening. What was the temperature in the woods the evening the crickets were recorded? (The recording is ten seconds long.)



Hint 1: How many chirps?

Hint 2: How will you use the data to find the temperature?  

Full Solution


 

 

 

 
  Hint 1

There are 22 chirps in the 10 second interval.

The frequency of flashing of fireflies and the frequency of chirping of crickets as a function of temperature are given below [J. Chem. Educ., 5, 343 (1972) Reprinted by permission.].

T(°C)

14.2 

20.3 

27.0 

Chirps/min

80

126

200

Back to Problem

Solution


 

 

 

 

 

 
Hint 2

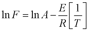
Can you use a form of the Arrhenius equation (Ae-E/RT) to make an appropriate plot of the cricket data?

Back to Problem

Solution


 

 

 

 

 

 
 

The following sound of chirping crickets was recorded in the woods during the summer evening. What was the temperature in the woods the evening the crickets were recorded?


Solution

Assume:

Answer=

Using data from the chart below (P3-3A), graph ln(chirps/min) vs 1/T.

From the recording, we know that the crickets were chirping 11 times in five seconds, or 132 times per minute. Find this point on the graph and find the corresponding temperature.

Consequently, the night Prof. Fogler measured the cricket chirps in the bushes, the temperature was 69.8 degrees Fahrenheit.  

 

Back to Chapter 3