General Info

m = 84, n = 12600, n_c = 799

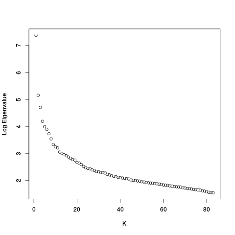
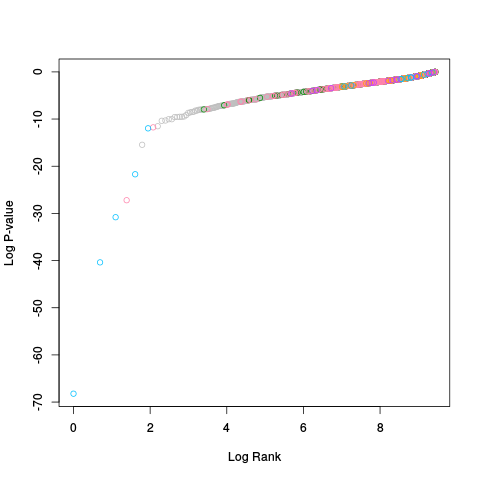
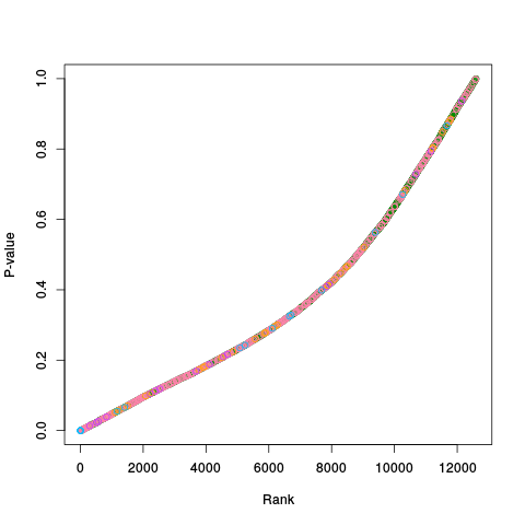
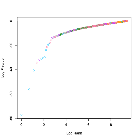
Scree Plots
  Rows 1
  Columns 1 2
Y Y_c
image image

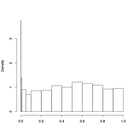
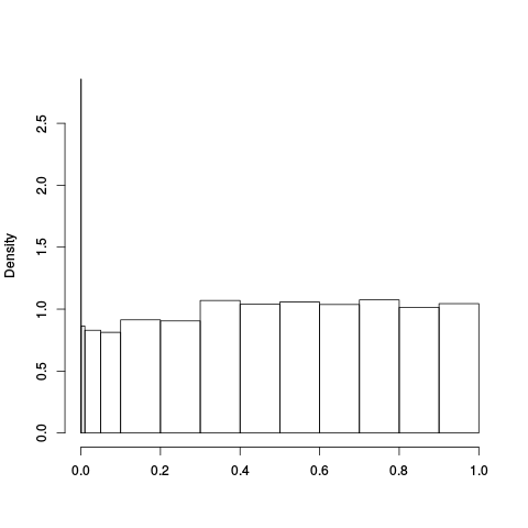
RLE Plots
  Rows 1
  Columns 1 2
Y Y_c
image image

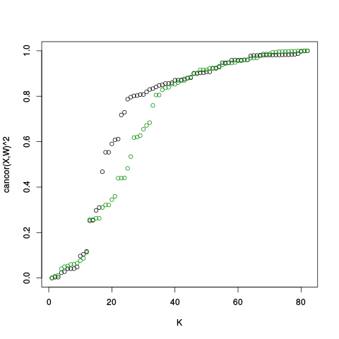
Cancor Plots
  Rows 1
  Columns 1
image

PC Plots
  Rows 1
  Columns 1
image

Alpha Plots
  Rows 1
  Columns 1
image



RUV-4 Combined Analyses

Top-ranked Count Plots
  Rows 1
  Columns 1 2 3 4 5
standard ebayes rsvar rsvar ebayes evar
image image image image image

Combined Diagnostic Plots
  Rows 1 2
  Columns 1 2 3 4 5 6 7 8 9 10 11 12 13 14 15 16 17 18 19 20 21 22 23 24 25 26 27 28 29 30 31 32 33 34
K Y Y_c projection standard ebayes rsvar rsvar ebayes evar standard ebayes rsvar rsvar ebayes evar standard ebayes rsvar rsvar ebayes evar standard (controls) ebayes (controls) rsvar (controls) rsvar ebayes (controls) evar (controls) standard (controls) ebayes (controls) rsvar (controls) rsvar ebayes (controls) evar (controls) standard (controls) ebayes (controls) rsvar (controls) rsvar ebayes (controls) evar (controls)
1 image image image image image image image image image image image image image image image image image image image image image image image image image image image image image image image image image
10 image image image image image image image image image image image image image image image image image image image image image image image image image image image image image image image image image



RUV-4 Individual Analyses

RUV-4 K = 1

RLE Plots (K = 1)
  Rows 1
  Columns 1 2
Y Y_c
image image

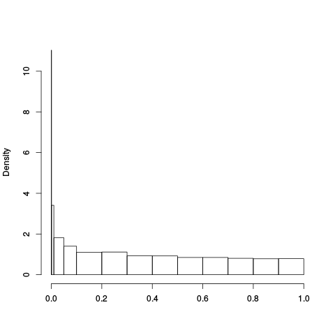
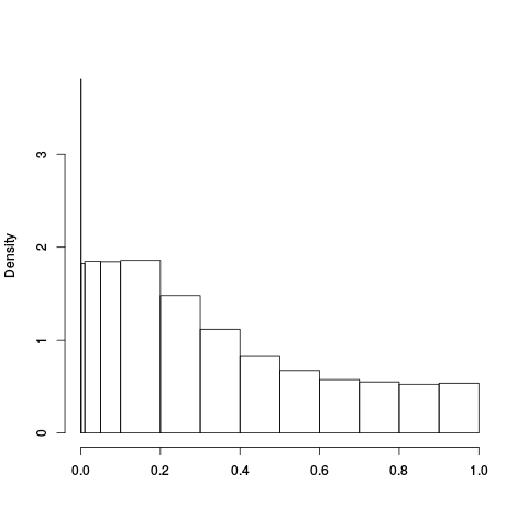
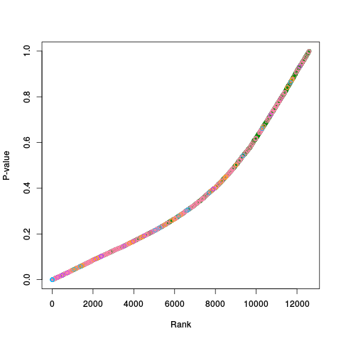
P-values (K = 1)
  Rows 1 2 3
  Columns 1 2 3 4 5
standard ebayes rsvar rsvar ebayes evar
image image image image image
image image image image image
image image image image image

P-values (Controls) (K = 1)
  Rows 1 2 3
  Columns 1 2 3 4 5
standard ebayes rsvar rsvar ebayes evar
image image image image image
image image image image image
image image image image image

Projection Plots (K = 1)
  Rows 1
  Columns 1 2 3 4 5 6
Standard Coloring standard ebayes rsvar rsvar ebayes evar
image image image image image image

Variance Plots (K = 1)
  Rows 1
  Columns 1 2 3 4 5 6
Standard Coloring standard ebayes rsvar rsvar ebayes evar
image image image image image image

Number of Top-ranked Positive Controls
  Columns 1 2 3 4 5
standard ebayes rsvar rsvar ebayes evar
20 40 60 80 100
7 8 10 12 13
20 40 60 80 100
7 7 9 12 12
20 40 60 80 100
7 8 10 12 13
20 40 60 80 100
7 7 9 12 12
20 40 60 80 100
8 8 10 10 11

Top-ranked Genes (K = 1)
  Columns 1 2 3 4 5
standard ebayes rsvar rsvar ebayes evar
rank p BH beta chrom sym index
1 3e-29 4e-25 1.1 Y RPS4Y1 11296
2 2e-17 1e-13 0.3 Y KDM5D 7630
3 2e-13 9e-10 0.76 Y DDX3Y 8410
4 7e-12 2e-08 -0.36 X XIST 8501
5 1e-09 3e-06 0.27 Y USP9Y 5916
6 5e-07 0.001 -0.13 11hbg NA 8641
7 1e-05 0.02 0.2 Y UTY 4494
8 2e-05 0.02 -0.083 X HDHD1A 7758
9 2e-05 0.03 -0.16 1 PDE4DIP 3370
10 6e-05 0.07 -0.091 8 MYOM2 7587
11 6e-05 0.07 -0.093 7 RAMP3 5176
12 8e-05 0.08 -0.71 11 HBB 2045
13 8e-05 0.08 -0.11 6 IER3 258
14 1e-04 0.1 -0.07 11 CAPN5 8560
15 1e-04 0.1 -0.085 2 INPP5D 792
16 1e-04 0.1 -0.15 17 PECAM1 7443
17 1e-04 0.1 -0.073 5 HBEGF 8089
18 1e-04 0.1 -0.06 21 POFUT2 4302
19 2e-04 0.1 -0.085 15 PML 12105
20 3e-04 0.2 -0.076 19 LIG1 405
21 3e-04 0.2 -0.068 5 P4HA2 4406
22 3e-04 0.2 -0.11 3 CRYBG3 11356
23 4e-04 0.2 -0.11 8 FDFT1 4869
24 4e-04 0.2 -0.057 17 PELP1 2452
25 4e-04 0.2 -0.11 1 TNFRSF1B 631
26 5e-04 0.2 -0.07 12 RAD52 10821
27 5e-04 0.2 -0.07 10 CXCL12 3845
28 6e-04 0.2 -0.079 1 MTMR11 251
29 6e-04 0.2 -0.091 21 IL10RB 3232
30 6e-04 0.2 -0.19 11 RELA 319
31 6e-04 0.2 -0.11 2 ARID5A 8332
32 6e-04 0.2 -0.092 10 FAM53B 10214
33 6e-04 0.2 -0.061 X STS 8086
34 6e-04 0.2 -0.1 2 MTHFD2 10144
35 6e-04 0.2 -0.066 1 RIT1 8386
36 7e-04 0.2 -0.086 1 GJA4 10763
37 7e-04 0.2 -0.15 18 DTNA 6503
38 8e-04 0.3 -0.091 3 HCLS1 1811
39 8e-04 0.3 -0.081 17 ERBB2 977
40 8e-04 0.3 -0.087 8 TNFRSF10B 4913
rank p BH beta chrom sym index
1 3e-30 4e-26 1.1 Y RPS4Y1 11296
2 2e-17 1e-13 0.3 Y KDM5D 7630
3 7e-14 3e-10 0.76 Y DDX3Y 8410
4 4e-12 1e-08 -0.36 X XIST 8501
5 1e-09 2e-06 0.27 Y USP9Y 5916
6 7e-07 0.002 -0.13 11hbg NA 8641
7 1e-05 0.02 0.2 Y UTY 4494
8 2e-05 0.03 -0.16 1 PDE4DIP 3370
9 4e-05 0.05 -0.083 X HDHD1A 7758
10 6e-05 0.07 -0.71 11 HBB 2045
11 1e-04 0.1 -0.091 8 MYOM2 7587
12 1e-04 0.1 -0.093 7 RAMP3 5176
13 1e-04 0.1 -0.11 6 IER3 258
14 1e-04 0.1 -0.15 17 PECAM1 7443
15 2e-04 0.2 -0.085 2 INPP5D 792
16 3e-04 0.2 -0.073 5 HBEGF 8089
17 3e-04 0.2 -0.07 11 CAPN5 8560
18 3e-04 0.2 -0.085 15 PML 12105
19 4e-04 0.3 -0.11 3 CRYBG3 11356
20 4e-04 0.3 -0.11 8 FDFT1 4869
21 4e-04 0.3 -0.06 21 POFUT2 4302
22 5e-04 0.3 -0.076 19 LIG1 405
23 5e-04 0.3 -0.19 11 RELA 319
24 5e-04 0.3 -0.11 1 TNFRSF1B 631
25 6e-04 0.3 -0.068 5 P4HA2 4406
26 6e-04 0.3 -0.11 2 ARID5A 8332
27 7e-04 0.3 -0.15 18 DTNA 6503
28 7e-04 0.3 -0.1 2 MTHFD2 10144
29 7e-04 0.3 -0.091 21 IL10RB 3232
30 7e-04 0.3 -0.092 10 FAM53B 10214
31 8e-04 0.3 -0.079 1 MTMR11 251
32 9e-04 0.3 -0.07 12 RAD52 10821
33 9e-04 0.3 -0.07 10 CXCL12 3845
34 9e-04 0.3 -0.086 1 GJA4 10763
35 9e-04 0.3 -0.091 3 HCLS1 1811
36 0.001 0.3 -0.087 8 TNFRSF10B 4913
37 0.001 0.3 -0.16 22 DDX17 11342
38 0.001 0.3 -0.64 16hba1 NA 1513
39 0.001 0.3 -0.2 6 CTGF 6677
40 0.001 0.3 -0.081 17 ERBB2 977
rank p BH beta chrom sym index
1 2e-30 3e-26 1.1 Y RPS4Y1 11296
2 3e-18 2e-14 0.3 Y KDM5D 7630
3 4e-14 2e-10 0.76 Y DDX3Y 8410
4 2e-12 5e-09 -0.36 X XIST 8501
5 4e-10 9e-07 0.27 Y USP9Y 5916
6 2e-07 4e-04 -0.13 11hbg NA 8641
7 6e-06 0.01 0.2 Y UTY 4494
8 8e-06 0.01 -0.083 X HDHD1A 7758
9 1e-05 0.01 -0.16 1 PDE4DIP 3370
10 3e-05 0.04 -0.091 8 MYOM2 7587
11 3e-05 0.04 -0.093 7 RAMP3 5176
12 4e-05 0.04 -0.71 11 HBB 2045
13 4e-05 0.04 -0.11 6 IER3 258
14 7e-05 0.05 -0.07 11 CAPN5 8560
15 7e-05 0.05 -0.085 2 INPP5D 792
16 7e-05 0.05 -0.15 17 PECAM1 7443
17 7e-05 0.05 -0.073 5 HBEGF 8089
18 8e-05 0.06 -0.06 21 POFUT2 4302
19 1e-04 0.07 -0.085 15 PML 12105
20 2e-04 0.1 -0.076 19 LIG1 405
21 2e-04 0.1 -0.068 5 P4HA2 4406
22 2e-04 0.1 -0.11 3 CRYBG3 11356
23 2e-04 0.1 -0.11 8 FDFT1 4869
24 3e-04 0.1 -0.057 17 PELP1 2452
25 3e-04 0.1 -0.11 1 TNFRSF1B 631
26 3e-04 0.1 -0.07 12 RAD52 10821
27 3e-04 0.1 -0.07 10 CXCL12 3845
28 3e-04 0.1 -0.079 1 MTMR11 251
29 3e-04 0.1 -0.091 21 IL10RB 3232
30 3e-04 0.1 -0.19 11 RELA 319
31 4e-04 0.1 -0.11 2 ARID5A 8332
32 4e-04 0.1 -0.092 10 FAM53B 10214
33 4e-04 0.1 -0.061 X STS 8086
34 4e-04 0.1 -0.1 2 MTHFD2 10144
35 4e-04 0.1 -0.066 1 RIT1 8386
36 5e-04 0.2 -0.086 1 GJA4 10763
37 5e-04 0.2 -0.15 18 DTNA 6503
38 5e-04 0.2 -0.091 3 HCLS1 1811
39 5e-04 0.2 -0.081 17 ERBB2 977
40 5e-04 0.2 -0.087 8 TNFRSF10B 4913
rank p BH beta chrom sym index
1 3e-31 3e-27 1.1 Y RPS4Y1 11296
2 3e-18 2e-14 0.3 Y KDM5D 7630
3 2e-14 7e-11 0.76 Y DDX3Y 8410
4 9e-13 3e-09 -0.36 X XIST 8501
5 3e-10 7e-07 0.27 Y USP9Y 5916
6 3e-07 7e-04 -0.13 11hbg NA 8641
7 6e-06 0.01 0.2 Y UTY 4494
8 1e-05 0.02 -0.16 1 PDE4DIP 3370
9 2e-05 0.03 -0.083 X HDHD1A 7758
10 3e-05 0.04 -0.71 11 HBB 2045
11 5e-05 0.05 -0.091 8 MYOM2 7587
12 6e-05 0.05 -0.093 7 RAMP3 5176
13 6e-05 0.05 -0.11 6 IER3 258
14 7e-05 0.07 -0.15 17 PECAM1 7443
15 1e-04 0.1 -0.085 2 INPP5D 792
16 2e-04 0.1 -0.073 5 HBEGF 8089
17 2e-04 0.1 -0.07 11 CAPN5 8560
18 2e-04 0.1 -0.085 15 PML 12105
19 2e-04 0.2 -0.11 3 CRYBG3 11356
20 2e-04 0.2 -0.11 8 FDFT1 4869
21 3e-04 0.2 -0.06 21 POFUT2 4302
22 3e-04 0.2 -0.076 19 LIG1 405
23 3e-04 0.2 -0.19 11 RELA 319
24 3e-04 0.2 -0.11 1 TNFRSF1B 631
25 4e-04 0.2 -0.068 5 P4HA2 4406
26 4e-04 0.2 -0.11 2 ARID5A 8332
27 4e-04 0.2 -0.15 18 DTNA 6503
28 4e-04 0.2 -0.1 2 MTHFD2 10144
29 4e-04 0.2 -0.091 21 IL10RB 3232
30 5e-04 0.2 -0.092 10 FAM53B 10214
31 5e-04 0.2 -0.079 1 MTMR11 251
32 6e-04 0.2 -0.07 12 RAD52 10821
33 6e-04 0.2 -0.07 10 CXCL12 3845
34 6e-04 0.2 -0.086 1 GJA4 10763
35 6e-04 0.2 -0.091 3 HCLS1 1811
36 7e-04 0.2 -0.087 8 TNFRSF10B 4913
37 7e-04 0.2 -0.16 22 DDX17 11342
38 7e-04 0.2 -0.64 16hba1 NA 1513
39 7e-04 0.2 -0.2 6 CTGF 6677
40 7e-04 0.2 -0.081 17 ERBB2 977
rank p BH beta chrom sym index
1 3e-119 4e-115 1.1 Y RPS4Y1 11296
2 2e-34 2e-30 0.76 Y DDX3Y 8410
3 3e-13 1e-09 -0.36 X XIST 8501
4 1e-10 4e-07 0.3 Y KDM5D 7630
5 3e-08 8e-05 0.27 Y USP9Y 5916
6 9e-08 2e-04 -0.71 11 HBB 2045
7 1e-06 0.003 -0.24 11 IFITM1 12214
8 3e-06 0.005 -0.64 16hba1 NA 1513
9 9e-06 0.01 -0.61 11 HBB 1676
10 4e-05 0.05 -0.2 6 CTGF 6677
11 4e-05 0.05 -0.2 20 TGM2 8459
12 6e-05 0.07 0.2 Y UTY 4494
13 2e-04 0.2 -0.19 11 RELA 319
14 3e-04 0.2 0.23 X Y SLC25A6 10509
15 4e-04 0.3 0.33 19 CIRBP 9932
16 5e-04 0.4 -0.17 14 NFKBIA 498
17 9e-04 0.6 -0.16 X TIMP1 752
18 9e-04 0.6 -0.16 2 CYP1B1 10141
19 9e-04 0.6 -0.16 6 HLA-F 7466
20 0.001 0.8 -0.16 11 ZBTB16 9748
21 0.001 0.8 -0.16 1 PDE4DIP 3370
22 0.001 0.8 -0.2 10 C10orf10 9176
23 0.001 0.8 -0.16 22 DDX17 11342
24 0.002 0.8 -0.15 11 CD59 9232
25 0.002 0.8 -0.22 20 ID1 6656
26 0.002 0.8 -0.22 8 CEBPD 58
27 0.002 0.8 0.28 2 GAD1 7226
28 0.003 0.8 -0.15 11 SERPING1 9843
29 0.003 0.8 -0.13 11hbg NA 8641
30 0.003 0.8 -0.15 17 PECAM1 7443
31 0.003 0.8 -0.15 18 DTNA 6503
32 0.003 0.8 -0.15 1 MCL1 1257
33 0.003 0.8 -0.14 14 AP1G2 8856
34 0.003 0.8 -0.14 2 IGFBP5 735
35 0.004 0.8 0.18 6 RPL10A 6826
36 0.004 0.8 -0.14 6 HLA-E 2317
37 0.004 0.8 -0.14 4 HMGB2 8117
38 0.004 0.8 -0.18 22 CLDN5 9055
39 0.004 0.8 -0.14 12 SLC2A3 7020
40 0.004 0.8 -0.21 19 ZFP36 10522


RUV-4 K = 10

RLE Plots (K = 10)
  Rows 1
  Columns 1 2
Y Y_c
image image

P-values (K = 10)
  Rows 1 2 3
  Columns 1 2 3 4 5
standard ebayes rsvar rsvar ebayes evar
image image image image image
image image image image image
image image image image image

P-values (Controls) (K = 10)
  Rows 1 2 3
  Columns 1 2 3 4 5
standard ebayes rsvar rsvar ebayes evar
image image image image image
image image image image image
image image image image image

Projection Plots (K = 10)
  Rows 1
  Columns 1 2 3 4 5 6
Standard Coloring standard ebayes rsvar rsvar ebayes evar
image image image image image image

Variance Plots (K = 10)
  Rows 1
  Columns 1 2 3 4 5 6
Standard Coloring standard ebayes rsvar rsvar ebayes evar
image image image image image image

Number of Top-ranked Positive Controls
  Columns 1 2 3 4 5
standard ebayes rsvar rsvar ebayes evar
20 40 60 80 100
16 21 21 23 25
20 40 60 80 100
17 21 21 23 24
20 40 60 80 100
16 21 21 23 25
20 40 60 80 100
17 21 21 23 24
20 40 60 80 100
16 21 22 25 26

Top-ranked Genes (K = 10)
  Columns 1 2 3 4 5
standard ebayes rsvar rsvar ebayes evar
rank p BH beta chrom sym index
1 5e-32 6e-28 1.2 Y RPS4Y1 11296
2 7e-24 5e-20 0.35 Y KDM5D 7630
3 3e-17 1e-13 0.79 Y DDX3Y 8410
4 9e-15 3e-11 -0.31 X XIST 8501
5 6e-14 1e-10 0.2 X Y CD99 11219
6 6e-14 1e-10 0.14 Y TTTY15 6357
7 3e-13 5e-10 0.25 Y UTY 4494
8 6e-13 9e-10 0.31 Y USP9Y 5916
9 8e-11 1e-07 0.12 Y CYorf15B 8235
10 2e-09 2e-06 0.19 X NA 6403
11 4e-09 5e-06 0.1 Y EIF1AY 10167
12 6e-09 6e-06 0.098 Y NLGN4Y 2932
13 1e-08 1e-05 0.095 X NA 12506
14 4e-07 3e-04 -0.11 X DDX3X 9812
15 1e-06 0.001 0.18 X Y SLC25A6 10509
16 2e-06 0.001 -0.091 1 FDPS 7370
17 2e-06 0.001 0.15 21 SH3BGR 6073
18 3e-06 0.002 0.14 X Y SLC25A6 10510
19 3e-06 0.002 -0.084 11hbg NA 8641
20 4e-06 0.002 -0.66 11 HBB 2045
21 4e-06 0.002 -0.15 X RPS4X 4662
22 5e-06 0.003 0.084 19 TNNT1 6147
23 7e-06 0.004 0.11 3 RAB5A 6144
24 8e-06 0.004 0.089 X Y ASMTL 6591
25 8e-06 0.004 0.23 5 SLC1A3 6648
26 9e-06 0.004 -0.64 16hba1 NA 1513
27 9e-06 0.004 -0.062 X HDHD1A 7758
28 9e-06 0.004 -0.1 3 ABCC5 1012
29 1e-05 0.005 0.092 X Y GTPBP6 11189
30 1e-05 0.005 0.11 6 CD24 1246
31 2e-05 0.006 0.051 1 HS2ST1 10585
32 2e-05 0.007 0.093 2 NTSR2 3014
33 2e-05 0.007 0.056 3 KCNAB1 2711
34 2e-05 0.007 0.13 2 NCL 2588
35 2e-05 0.009 -0.14 11 IFITM1 12214
36 3e-05 0.01 0.069 Y PRKY 10100
37 3e-05 0.01 0.15 7 PTPRZ1 392
38 3e-05 0.01 -0.11 7 POLD2 508
39 4e-05 0.01 0.17 3 RHOA 7354
40 4e-05 0.01 0.26 19 APOE 12147
rank p BH beta chrom sym index
1 3e-34 4e-30 1.2 Y RPS4Y1 11296
2 4e-25 3e-21 0.35 Y KDM5D 7630
3 2e-18 1e-14 0.79 Y DDX3Y 8410
4 1e-15 4e-12 -0.31 X XIST 8501
5 1e-14 4e-11 0.2 X Y CD99 11219
6 3e-14 6e-11 0.14 Y TTTY15 6357
7 6e-14 1e-10 0.25 Y UTY 4494
8 1e-13 2e-10 0.31 Y USP9Y 5916
9 5e-11 7e-08 0.12 Y CYorf15B 8235
10 5e-10 7e-07 0.19 X NA 6403
11 3e-09 4e-06 0.1 Y EIF1AY 10167
12 5e-09 5e-06 0.098 Y NLGN4Y 2932
13 1e-08 1e-05 0.095 X NA 12506
14 2e-07 2e-04 -0.11 X DDX3X 9812
15 7e-07 6e-04 0.18 X Y SLC25A6 10509
16 9e-07 7e-04 0.15 21 SH3BGR 6073
17 1e-06 8e-04 -0.091 1 FDPS 7370
18 1e-06 0.001 0.14 X Y SLC25A6 10510
19 2e-06 0.001 -0.66 11 HBB 2045
20 2e-06 0.001 -0.15 X RPS4X 4662
21 2e-06 0.001 -0.084 11hbg NA 8641
22 4e-06 0.002 0.084 19 TNNT1 6147
23 4e-06 0.002 0.23 5 SLC1A3 6648
24 4e-06 0.002 -0.64 16hba1 NA 1513
25 4e-06 0.002 0.11 3 RAB5A 6144
26 6e-06 0.003 0.089 X Y ASMTL 6591
27 6e-06 0.003 -0.1 3 ABCC5 1012
28 8e-06 0.004 0.11 6 CD24 1246
29 9e-06 0.004 0.092 X Y GTPBP6 11189
30 1e-05 0.004 -0.062 X HDHD1A 7758
31 1e-05 0.005 0.13 2 NCL 2588
32 1e-05 0.005 0.093 2 NTSR2 3014
33 1e-05 0.005 -0.14 11 IFITM1 12214
34 2e-05 0.007 0.15 7 PTPRZ1 392
35 2e-05 0.007 0.17 3 RHOA 7354
36 2e-05 0.007 -0.11 7 POLD2 508
37 2e-05 0.008 0.26 19 APOE 12147
38 2e-05 0.008 0.056 3 KCNAB1 2711
39 2e-05 0.008 0.051 1 HS2ST1 10585
40 3e-05 0.009 0.069 Y PRKY 10100
rank p BH beta chrom sym index
1 2e-25 3e-21 1.2 Y RPS4Y1 11296
2 4e-18 3e-14 0.35 Y KDM5D 7630
3 1e-12 6e-09 0.79 Y DDX3Y 8410
4 1e-10 4e-07 -0.31 X XIST 8501
5 5e-10 1e-06 0.2 X Y CD99 11219
6 5e-10 1e-06 0.14 Y TTTY15 6357
7 2e-09 3e-06 0.25 Y UTY 4494
8 3e-09 5e-06 0.31 Y USP9Y 5916
9 1e-07 2e-04 0.12 Y CYorf15B 8235
10 1e-06 0.001 0.19 X NA 6403
11 2e-06 0.003 0.1 Y EIF1AY 10167
12 3e-06 0.003 0.098 Y NLGN4Y 2932
13 5e-06 0.005 0.095 X NA 12506
14 5e-05 0.04 -0.11 X DDX3X 9812
15 1e-04 0.1 0.18 X Y SLC25A6 10509
16 1e-04 0.1 -0.091 1 FDPS 7370
17 1e-04 0.1 0.15 21 SH3BGR 6073
18 2e-04 0.1 0.14 X Y SLC25A6 10510
19 2e-04 0.1 -0.084 11hbg NA 8641
20 2e-04 0.1 -0.66 11 HBB 2045
21 2e-04 0.1 -0.15 X RPS4X 4662
22 3e-04 0.2 0.084 19 TNNT1 6147
23 4e-04 0.2 0.11 3 RAB5A 6144
24 4e-04 0.2 0.089 X Y ASMTL 6591
25 4e-04 0.2 0.23 5 SLC1A3 6648
26 4e-04 0.2 -0.64 16hba1 NA 1513
27 4e-04 0.2 -0.062 X HDHD1A 7758
28 4e-04 0.2 -0.1 3 ABCC5 1012
29 5e-04 0.2 0.092 X Y GTPBP6 11189
30 6e-04 0.2 0.11 6 CD24 1246
31 6e-04 0.3 0.051 1 HS2ST1 10585
32 7e-04 0.3 0.093 2 NTSR2 3014
33 7e-04 0.3 0.056 3 KCNAB1 2711
34 7e-04 0.3 0.13 2 NCL 2588
35 8e-04 0.3 -0.14 11 IFITM1 12214
36 0.001 0.3 0.069 Y PRKY 10100
37 0.001 0.3 0.15 7 PTPRZ1 392
38 0.001 0.3 -0.11 7 POLD2 508
39 0.001 0.4 0.17 3 RHOA 7354
40 0.001 0.4 0.26 19 APOE 12147
rank p BH beta chrom sym index
1 1e-26 2e-22 1.2 Y RPS4Y1 11296
2 1e-18 7e-15 0.35 Y KDM5D 7630
3 4e-13 2e-09 0.79 Y DDX3Y 8410
4 6e-11 2e-07 -0.31 X XIST 8501
5 3e-10 9e-07 0.2 X Y CD99 11219
6 6e-10 1e-06 0.14 Y TTTY15 6357
7 1e-09 2e-06 0.25 Y UTY 4494
8 2e-09 2e-06 0.31 Y USP9Y 5916
9 1e-07 2e-04 0.12 Y CYorf15B 8235
10 7e-07 9e-04 0.19 X NA 6403
11 3e-06 0.003 0.1 Y EIF1AY 10167
12 3e-06 0.004 0.098 Y NLGN4Y 2932
13 6e-06 0.006 0.095 X NA 12506
14 5e-05 0.04 -0.11 X DDX3X 9812
15 1e-04 0.08 0.18 X Y SLC25A6 10509
16 1e-04 0.09 0.15 21 SH3BGR 6073
17 1e-04 0.1 -0.091 1 FDPS 7370
18 2e-04 0.1 0.14 X Y SLC25A6 10510
19 2e-04 0.1 -0.66 11 HBB 2045
20 2e-04 0.1 -0.15 X RPS4X 4662
21 2e-04 0.1 -0.084 11hbg NA 8641
22 3e-04 0.2 0.084 19 TNNT1 6147
23 3e-04 0.2 0.23 5 SLC1A3 6648
24 3e-04 0.2 -0.64 16hba1 NA 1513
25 3e-04 0.2 0.11 3 RAB5A 6144
26 4e-04 0.2 0.089 X Y ASMTL 6591
27 4e-04 0.2 -0.1 3 ABCC5 1012
28 5e-04 0.2 0.11 6 CD24 1246
29 5e-04 0.2 0.092 X Y GTPBP6 11189
30 6e-04 0.2 -0.062 X HDHD1A 7758
31 6e-04 0.3 0.13 2 NCL 2588
32 7e-04 0.3 0.093 2 NTSR2 3014
33 7e-04 0.3 -0.14 11 IFITM1 12214
34 8e-04 0.3 0.15 7 PTPRZ1 392
35 9e-04 0.3 0.17 3 RHOA 7354
36 9e-04 0.3 -0.11 7 POLD2 508
37 0.001 0.3 0.26 19 APOE 12147
38 0.001 0.3 0.056 3 KCNAB1 2711
39 0.001 0.3 0.051 1 HS2ST1 10585
40 0.001 0.4 0.069 Y PRKY 10100
rank p BH beta chrom sym index
1 2e-34 2e-30 1.2 Y RPS4Y1 11296
2 1e-29 8e-26 0.35 Y KDM5D 7630
3 8e-16 3e-12 0.2 X Y CD99 11219
4 5e-15 2e-11 0.14 Y TTTY15 6357
5 6e-12 1e-08 0.79 Y DDX3Y 8410
6 6e-11 1e-07 0.12 Y CYorf15B 8235
7 6e-10 1e-06 0.31 Y USP9Y 5916
8 1e-09 2e-06 0.25 Y UTY 4494
9 1e-09 2e-06 -0.31 X XIST 8501
10 3e-09 3e-06 0.098 Y NLGN4Y 2932
11 9e-09 1e-05 0.095 X NA 12506
12 2e-08 2e-05 0.1 Y EIF1AY 10167
13 4e-06 0.004 0.19 X NA 6403
14 6e-06 0.005 -0.091 1 FDPS 7370
15 2e-05 0.01 -0.11 X DDX3X 9812
16 2e-05 0.02 0.084 19 TNNT1 6147
17 2e-05 0.02 -0.084 11hbg NA 8641
18 2e-05 0.02 0.089 X Y ASMTL 6591
19 7e-05 0.05 -0.1 3 ABCC5 1012
20 8e-05 0.05 -0.062 X HDHD1A 7758
21 1e-04 0.07 0.064 6 CRISP3 6501
22 1e-04 0.08 0.069 Y PRKY 10100
23 2e-04 0.1 0.079 4 RCHY1 6079
24 3e-04 0.1 0.092 X Y GTPBP6 11189
25 3e-04 0.1 0.093 2 NTSR2 3014
26 3e-04 0.1 0.11 6 CD24 1246
27 3e-04 0.1 0.18 X Y SLC25A6 10509
28 3e-04 0.1 0.075 2 SH3YL1 3906
29 3e-04 0.1 -0.15 X RPS4X 4662
30 4e-04 0.1 0.056 3 KCNAB1 2711
31 4e-04 0.1 0.11 3 RAB5A 6144
32 4e-04 0.2 0.15 21 SH3BGR 6073
33 4e-04 0.2 -0.11 7 POLD2 508
34 6e-04 0.2 0.057 3 NCBP2 2790
35 6e-04 0.2 0.051 1 HS2ST1 10585
36 6e-04 0.2 0.14 X Y SLC25A6 10510
37 7e-04 0.2 0.063 22gg* NA 12254
38 7e-04 0.2 0.056 16 CREBBP 3842
39 7e-04 0.2 0.067 19 AXL 8488
40 9e-04 0.3 0.053 7 PION 11796




Projection Plot Table

Factor Projection Plots
  Rows 1 2 3
  Columns 1 2 3 4 5
1 2 3 4 5
image image image image image
image image image image image
image image image image image