|
|
Type 3 Home Problem -- Solution
Problems that are over-specified.
This problem might confuse the student with excess information about the rate constant, but there is a straight-forward solution.
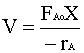
We begin with the design equation for a CSTR is:

Following the calculations in the Homogeneous Example 1 Solution, we get the equation for the conversion:

The problem gave us every variable except for FAo. FAo is just the mole fraction of A (xA) multiplied by the total initial flow rate (FTo).
![]()
Then, we substitute for our variables and calculate a conversion of:

Back to Homogenous Example 3
SCPS Thoughts Ten Types Homogeneous Example 3