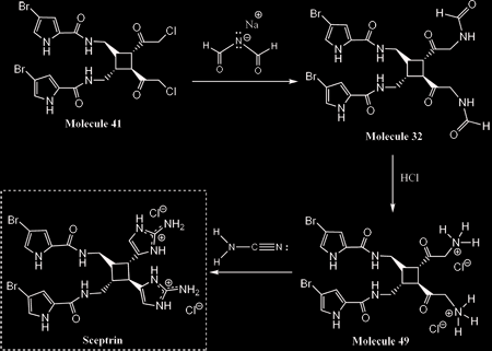
The Transformation of Molecule 41 to Sceptrin 1
Welcome to the home of the mechanism for the transformation of molecule 41 to sceptrin 1. We ask all those who are viewing the website to please contain their excitement over this amazing transformation.

O'Malley, D. P.; Li, K.; Maue, M.; Zografos, A. L.; Baran, P. S. J. Am. Chem. Soc. 2007, 129, 4762-4775.

