Blofeld finally concluded his zealous description of his scheme and rounded on the three friends.

"Now, what should I do with the three of you?" mused Blofeld.

In a flash of brilliance and before Blofeld could finish mulling over the possibilities, Eric pulled out his pocket laser pointer (a gadget he took to carrying after watching M). Turning it on, he aimed towards an adjoining storage closet.

"Nooo! Mrs. Whiskers!! Stop that!" yelled Blofeld as his precious cat leaped out of his arms towards the distracting green dot. "Come back! Follow her!"

Running after his beloved pet, Blofeld and his henchmen stumbled into the closet.

"Quick! Here's our chance!" declared Kari.

Holly quickly locked the storage closet, trapping Blofeld and his henchmen. With the bad guys pounding in vain on the door of the closet, the three scientists hustled back to the laboratory.

"Found it!" Eric held up a few vials. "It's the stolen nakiterpiosin!"

"Here's the bench running the latest step in the synthesis...and it's not running it anymore!" Kari said, disassembling the complicated set-up.

"We did!" crowed Holly. "Y'know, I bet M would say that we were just like his hero, lone-pair assisted ionization!"

"Holly, you just had to kill our victorious moment with a dorky comment like that, didn't you?" glared Kari.

"Well, the mechanism of this reaction does involve lone-pair assisted ionization..." offered Eric.




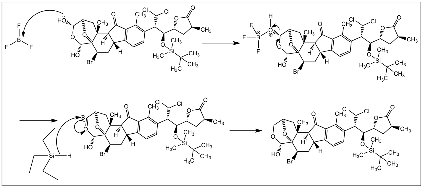
The mechanism for 55 to 56 is an example of selective reduction via lone-pair assisted ionization. The Lewis acid, BF3, adds to one of the hydroxyl groups. Through lone-pair assisted ionization, it is pushed off, forming a double bond within the seven-membered ring. Et3SiH is a strong hydride donator, which attacks the newly formed carbonyl to yield the final structure, 56.


Back | Next
Return to Main SSG Page