Welcome to LIFE
As with every game of LIFE, before your turn, you must choose if you would like to start a career OR go to college. By coming to this website, you have already made your decision, you will be going to college. Little did you know, you would be faced with one of the most difficult tasks in college -- passing Double Honors Organic Chemistry II.
Read about the mechanism below to jumpstart your time in the class. When you feel confident, move along throughout the board game by clicking on the tabs below.
Your goal is to make it out of college with a career and a salary card...
Will you make it through LIFE?
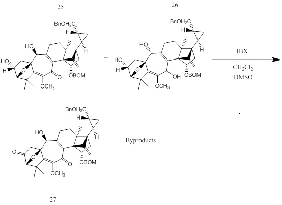
A type of parasite known as the cyst nematode lives on and destroys a variety of vegetables. One solution to the problem is to cause the nematodes to hatch prematurely. Solanoeclepin A is a key hatch-stimulating substance for the cyst nematodes. One intermediate step in the reaction is the conversion of molecules 25 and 26 to molecule 27. This reaction takes place through oxidation of certain -OH groups on molecules 25 and 26. This is obtained through the use of a common oxidizing agent, IBX.

Tanino, K.; Takahashi, M.; Tomata, Y.; Tokura, H.; Uehara, T.; Narabu, T.; Miyashita, M. Nature Chem. 2011, 3, 484-488.
