The NEXT step in your college career. Appying what you are learning to a real life example with other people -- your peers. Almost there!
Provide your peers with a brief review on the use of IBX in organic synthesis
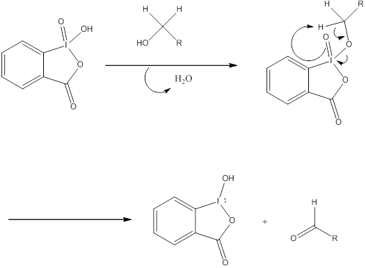
2-Iodoxybenzoic Acid is a compound that is used as an oxidizing agent in synthesis. The main oxidation use for IBX is to oxidize alcohols to aldehydes. The mechanism through which IBX oxidizes alcohols is called the hyper-valent twisting mechanism. This means that after a ligand exchange that replaces the hydroxyl group of the alcohol that is being oxidized, there is a twist of the double bonded oxygen bonded to Iodine on IBX. This results in an elimination reaction, completing the oxidation. This twist as allowed because of the way that the Iodine-Oxygen double bond is orientated out of the plane with the rest of the molecule.
General mechanism for reaction with IBX:

SOURCE: 2-Iodoxybenzoic Acid." Chemeurope.com. Chem Europe. Web. 03 Apr. 2012.
