
|
|

It's the attack of the Huns!
 |
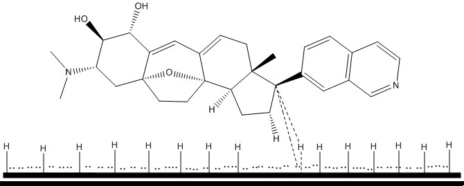
Like Raney Nickel bearing down on the molecule... |
 |
...covered in hydrogens |
Will the bonds formed within the small Chinese troop be able to withstand the forces of the Huns? After the Hun attack, the army left Mulan behind because she was a woman, but she later came back to revive their spirits and defeat the evil Huns once and for all!
Molecule 101 shown below is also being assailed by Ranel Nickel, a source of both protons and electrons. How will Molecule 101 react to Raney Nickel, and what will be the final outcome???

Wow!
Molecule 101 is now Cortistatin A (11)!!!
|
|