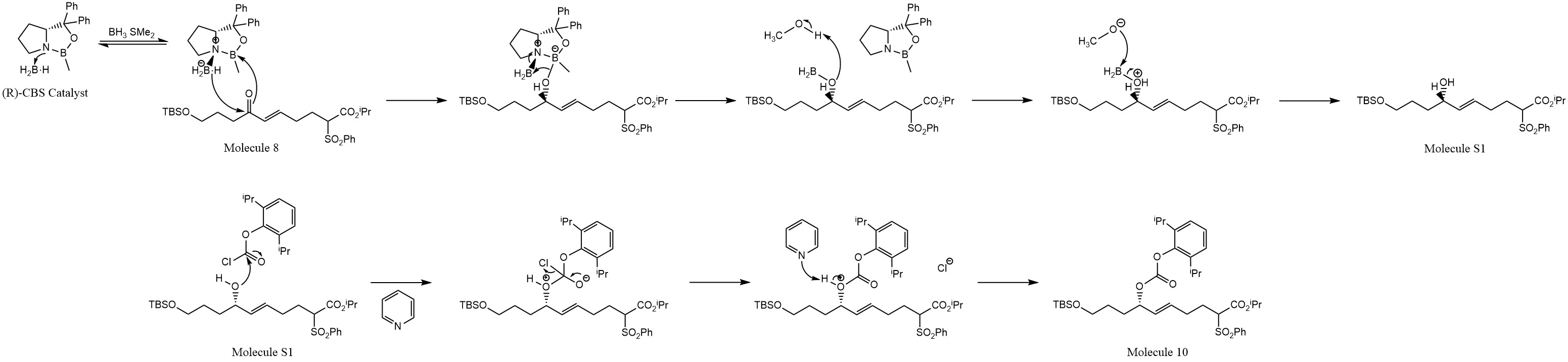
Here is the complete curved arrow reaction mechanism for the synthesis of molecule 10 from molecule 8:

In the first step, the BH3-activated (R)-CBS catalyst has a nucleophilic hydrogen that attacks the carbonyl with high stereoselectivity, and the oxygen from the carbonyl is stabilized by the CBS boron. The oxygen then attacks the other boron and the CBS catalyst leaves. Methanol then protonates the oxygen and the resulting methoxide steals the BH2. This is known as the Corey-Bakashi-Shibata reduction of a carbonyl. In the second step, the alcohol attacks the electrophilic carbonyl on diisopropylphenyl chloroformate. The resulting alkoxide pushes off the chloride, and then the pyridine deprotonates the ester to form the neutral form of molecule 10.

We know this is a lot to look at all at once, so here is the animated mechanism: