Florida Men do crazy things, but they know how to cite in APA
Main Paper Referenced
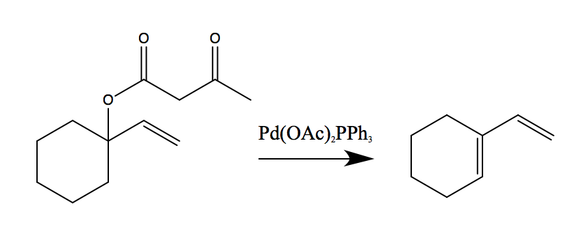
Chandrasekhar, S.; Mallikarjun, K.; Pavankumarreddy, G.; Veeramohana Rao, K.; Jagadeesh, B. Chem. Commun., 2009, 0, 4985-4987.
Papers with Similar Citations
Tsuji, J.; Yamada, T.; Minami, I.; Yuhara, M.; Nisar, M.; Shimizu, I. J. Org. Chem. 1987. 52, 2988-2995.
Conditions: The ester was boiled in THF with the catalyst Pd(OAc)2PPh3.
These reaction conditions were very different from the conditions of our paper because they used a metal reagent.

Trost, B. M., Bream, R. N. and Xu, J. (2006), Asymmetric Allylic Alkylation of Cyclic Vinylogous Esters and Thioesters by Pd‐Catalyzed Decarboxylation of Enol Carbonate and β‐Ketoester Substrates. Angewandte Chemie, 118: 3181-3184.
Conditions: The solvent used is 1,4-dioxane. The only reaction conditions which are the same for this referenced reaction and the reaction from paper two is the precence of CHCl3.
Mercier, C.; Mignani, G.; Aufrand, M.; Allmang, G. Tetrahedron Lett. 1991. 32, 1433-1436.
Conditions: 80 C, 1 hour, Pd(dba)2. This one is similar to our first citation, which also uses a Pd reagent.
Works Cited
StoryBlocks video. (n.d.). Molecule ball and stick model fly through atoms chemistry biology science, red. [Photograph].https://www.videoblocks.com/video/molecule-ball-and-stick-model-fly-through-atoms-chemistry-biology-science-red-sp7cj96.
Rappoccio, D. (2013). Florida Man: The Comic. [Online drawing]. Retrieved April 19, 2019 from https://cheezburger.com/648709/these-10-comics-show-that-florida-man-is-one-of-the-weirdest-superheroes-out-there.
Adams, M. (2016). Florida man arrested for 34th time, sheriff releases mugshots of his ‘many faces’. [Photograph]. Retrieved from https://fox59.com/2016/02/22/florida-man-arrested-for-34th-time-sheriff-releases-mugshots-of-his-many-faces/.