Professional Reference Shelf

R14.2 Real Reactor Modeled as an Ideal CSTR with an Exchange Volume

     
       
    In this particular model there is a highly agitated region in the vicinity of the impeller; outside this region, there is a region with less agitation (Figure R14.2-1). There is considerable material transfer between the two regions. Both inlet and outlet flow channels connect to the highly agitated region. We shall model the highly agitated region as one CSTR, the quieter region as another CSTR, with material transfer between the two. The material balances describing the steady-state behavior of the two reactors are  
       
   


Figure R14.2-1
(a) Real reaction systems; (b) model reaction system

 
       

Mole balances

  image 14eq27.gif (R14.2-1)
(R14.2-2)
    The two parameters in this model are the exchange flow rate image 14eq28.gifand the volume of the highly agitated region, V1. Note that the measured volume V is just the sum of V1 and V2.  
       
    These two simultaneous algebraic equations can readily be solved for most rate laws. We shall first consider the case of a first-order reaction:  
       
   

image 14eq29.gif

(R14.2-3)
       
    Let betarepresent that fraction of the total flow that is exchanged between reactors 1 and 2:  
       
   

image 14eq30.gif

(R14.2-4)
       
    and let alpha represent that fraction of the total volume V occupied by the highly  
    agitated region:  

Two parameters:
alpha and beta

 

image 14eq31.gif

(R14.2-5)
       
    Then  
       
   

image 14eq32.gif

(R14.2-6)
       
    The space-time is  
       
   

image 14eq33.gif

 
       
    With these specifications the balance on reactor 2 becomes  
       
   

image 14eq34.gif

(R14.2-7)
    Solving for C A2 gives us  
       
   

image 14eq35.gif

(R14.2-8)
       
    Substituting this value for C A2 into the mole balance on reactor 1, Equation (R14.1-1) yields  
       
    image 14eq36.gif (R14.2-9)
    Solving for C A1 we have  
       
   

image 14eq37.gif

(R14.2-10)
       
    In terms of conversion,  

Conversion for the
two-CSTR model

 

image 14eq38.gif

(R14.2-11)
    For large values of the product ,  
       
   

(R14.2-12)
       
    we observe that the exit concentration is a function of the relative sizes of the reactor volumes but not of the fluid exchanged between the two volumes. This statement will also be true for the case where.image 14eq40.gif. For small values of the product ,  
       
   

image 14eq41.gif

(R14.2-13)
       

Limiting situations

  which shows the consistency of our equation. If is very small, we should expect no significant amount of reaction. Let's examine the case where the Damköhler number,, has an intermediate value, say = 1; then  
       
   

image 14eq42.gif

 
       
    We shall soon show how the two parameters alpha and beta may be determined from tracer tests.  
       
    Determination of the Parameters alpha and beta.

In more complex models, unfortunately, the determination of the parameters in the model is not straightforward, and they usually must be calculated by nonlinear regression using the predicted tracer response curve directly. Exceptions do exist to this general rule, though: Consider, for example, the two-CSTRs-with-interchange model described earlier (shown in Figure R14.2-2 in simplified form). A mole balance on a tracer pulse injected at t = 0 for each of the tanks is
 
       

Unsteady-state balance of inert tracer

 

image 14eq43.gif

 
       

Model system

 


Figure R14.2-2
Model system: two CSTRs with interchange

 
       
    C T1 and C T2 are the tracer concentrations in reactors 1 and 2, respectively, with C T10 =N T 0 /V 1 and C T20 = 0. As before,  
       
   

image 14eq44.gif


(R14.2-4)


(R14.2-5)
       
    Substituting, we arrive at two coupled differential equations describing the unsteady behavior of the tracer that must be solved simultaneously.  
       
   

(R14.2-14)


(R14.2-15)
       
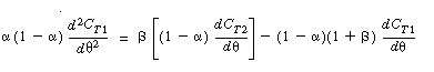
    To obtain a solution, we first differentiate Equation (R14.2-14) with respect to u and then multiply through by (1 - alpha) to get  
   

image 14eq46.gif

(R14.2-16)
       
    Substituting Equation (R14.2-15) for the bracketed term on the right-hand side gives us  
       
  image 14eq47.gif (R14.2-17)
    The term C T2 in Equation (R14.2-17) is eliminated by solving Equation (R14.2-14) for image 14eq48.gif  
       

Solution technique commonly encountered in reactor modeling

 

image 14eq49.gif

(R14.2-18)
    Combining Equations (R14.2-17) and (R14.2-18) and rearranging, we get

 
  image 14eq50.gif (R14.2-19)
    which is of the form  
       
   

image 14eq51.gif

 
       
    the solution to which is  
       
   

image 14eq52.gif

 
       
    For the problem at hand, the initial conditions at greeku = 0 are:  
       
   
 
       
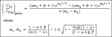
    The corresponding solution for the tracer outlet concentration is  
       
  image 14eq54.gif (R14.2-20)
       

Plot in CT1as a function of time find alpha and beta

  When tank 1 is rather small in comparison with tank 2 (small alpha ), and the rates of transfer between the two reactors are small (small beta), then during the first portion of the response to a pulse input the second exponential term approximates to 1. During the second portion of the response, the first exponential term approximates to zero. If the logarithm of the tracer concentration is plotted as a function of time, the response curve will approach a straight line at the two ends of the curve, and the parameters may be obtained from the slopes and intercepts of these lines. This concept has been used in physiological systems. 2



See Example R14-1.