What Four Things are Wrong with This Solution? - Stoichiometric Tables
Problem
The elementary gas phase reaction
![]()
is carried out in a flow reactor operated isothermally at 427�C and 28.7 atmospheres. Pressure drop can be neglected. Express the rate law and the concentration of each species as a function of conversion and as a function of the total molar flow rates. The entering volumetric flow rate is 10 dm3/s and the specific reaction rate is 200 dm12/mol4*s. The feed is equal molar in A and B.
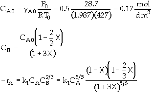
Solution
![]()
A is the limiting reactant
![]()
Equal molar yA0 = 1
![]()
In terms of molar flow rates
![]()
![]()
![]()
What Four Things are Wrong with This Solution?
|
|
the rate law is elementary as written one cannot change it by dividing through by the stoichiometry coefficient. We could have also known that the rate was incorrect by checking the units of k and multiply by concentration units to the 5/3 power
