ChE 344 Mid Term Exam Review


For Same m

Laminar


Turbulent

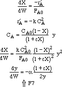
4. Combine

To page 3 of 5
To page 5 of 5

To Practice Exams