ChE 344 Mid Term Exam Review

Novel Reactor

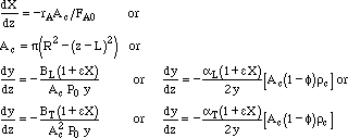
Spherical Reactors

Membrane Reactors

Reactive Distillation

To page 4 of 5

To Practice Exams