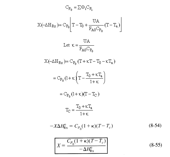
Chapter 8 Example


CSTR with Heat Effects

Back to Chapter 8