8. Steady-State Non-Isothermal Reactor Design*


Topics

  1. Why Use the Energy Balance?
  2. Overview of User Friendly Energy Balance Equations
  3. Manipulating the Energy Balance, DHRx
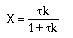
  4. Reversible Reactions
  5. Adiabatic Reactions
  6. Applications of the PFR/PBR User Friendly Energy Balance Equations
  7. Interstage Cooling/Heating
  8. Evaluating the Heat Exchanger Term
  9. Multiple Steady States
  10. Multiple Reactions with Heat Effects


Energy Balances, Rationale and Overview top

Nitrogen triiodide is unstable, and reacts exothermically when agitated. 

Let's calculate the volume necessary to achieve a conversion, X, in a PFR for a first-order, exothermic reaction carried out adiabatically. For an adiabatic, exothermic reaction the temperature profile might look something like this:

     

The combined mole balance, rate law, and stoichiometry yield:

To solve this equation we need to relate X and T.

We will use the Energy Balance to relate X and T. For example, for an adiabatic reaction, e.g.,, in which no inerts the energy balance yields

We can now form a table like we did in Chapter 2,


User Friendly Energy Balance Equations top

The user friendly forms of the energy balance we will focus on are outlined in the following table.


User friendly equations relating X and T, and Fi and T

1. Adiabatic CSTR, PFR, Batch, PBR achieve this:

(1.A)

 

(1.B)

2. CSTR with heat exchanger, UA(Ta-T) and large coolant flow rate.

(2)


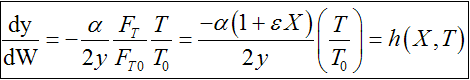
3 . PFR/PBR with heat exchange

3A. In terms of conversion, X

(3.A)

3B. In terms of molar flow rates, Fi 

(3.B)

4. For Multiple Reactions

(4)

5. Coolant Balance

Co-Current Flow

(5)

 

These equations are derived in the text.  These are the equations that we will use to solve reaction engineering problems with heat effects.



Energy Balance top

In the material that follows, we will derive the above equations.

Energy Balance:

Typical units for each term are J/s; i.e. Watts

  James Prescott Joule (1818-1889)

  James Watt (1736-1819)


   (1)

OK folks, here is what we are going to do to put this above equation into a usable form.

  1. Replace Ei by Ei=Hi-PVi

  2. Express Hi in terms of enthalpies of formation and heat capacities

  3. Express Fi in terms of either conversion or rates of reaction 

  4. Define DHRX

  5. Define DCP

  6. Manipulate so that the overall energy balance is either in terms of the User Friendly Equations (yellow box) 1.A, 1.B, 2, 3A, 3B, or 4 depending on the application

Step 1:

Substitute

,   ,   and   

into equation (1) to obtain the General Energy Balance Equation.

General Energy Balance:

For steady state operation:

We need to put the above equation into a form that we can easily use to relate X and T in order to size reactors. To achieve this goal, we write the molar flow rates in terms of conversion and the enthalpies as a function of temperature. We now will "dissect" both Fi and Hi. [Note: For an animated derivation of the following equations, see the Interactive Computer Modules (ICMs) Heat Effects 1 and Heat Effects 2.]

Flow Rates, Fi

For the generalized reaction:

In general,


Enthalpies, Hi

Assuming no phase change:

 


Mean heat capacities:

Heats of Reaction


Energy Balance with "dissected" enthalpies:


For constant or mean heat capacities:

Adiabatic Energy Balance:

Adiabatic Energy Balance for variable heat capacities:

For constant heat capacities:

We will only be considering constant heat capacities for now.

Effects of inerts on T and X


Reversible Reactions top

Consider the reversible gas phase elementary reaction.

The rate law for this gas phase reaction will follow an elementary rate law.

Where Kc is the concentration equilibrium constant. We know from Le Chaltlier's Law that if the reaction is exothermic, Kc will decrease as the temperature is increased and the reaction will be shifted back to the left. If the reaction is endothermic and the temperature is increased, Kcwill increase and the reaction will shift to the right.

Van't Hoff Equation

For the special case of

Integrating the Van't Hoff Equation gives:

Adiabatic Equilibrium

Conversion on Temperature

Exothermic ΔH is negative

Adiabatic Equilibrium temperature (Tadia) and conversion (Xeadia

Endothermic ΔH is positive


Adiabatic Reactions top

Van't Hoff

Algorithm Adiabatic Reactions:

Suppose we have the Gas Phase Reaction

that follows an elementary rate law. To generate a Levenspiel plot to size CSTRs and PFRs we use the following steps or as we will see later use POLYMATH.

1.   Choose X 
     Calculate T
     Calculate k
     Calculate KC
     Calculate To/T
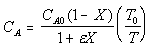
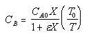
     Calculate CA
     Calculate CB
     Calculate -rA
2. Increment X and then repeat calculations.
3. When finished, plotvs. X or use some numerical technique to find V.

Levenspiel Plot for an
exothermic, adiabatic reaction.

Reactor Sizing

We can now use the techniques developed in Chapter 2 to size reactors and reactors in series to compare and size CSTRs and PFRs.  

Consider:


PFR Shaded area is the volume.

For an exit conversion of 40%

For an exit conversion of 70%

CSTRShaded area is the reactor volume.

For an exit conversion of 40%

For an exit conversion of 70%

                     

We see for 40% conversion very little volume is required.

CSTR+PFR

            (a)             (b)

For an intermediate conversion of 40% and exit conversion of 70%

            (a)             (b)

Looks like the best arrangement is a CSTR with a 40% conversion followed by a PFR up to 70% conversion.

Adiabatic Endothermic Reactions


Applications of the PFR/PBR User Friendly Energy Balance Equations top

NOTE: The PFR and PBR formulas are very similar.

Heat exchange for a PFR:
a = heat exchange area per unit volume of reactor; for a tubular reactor, a = 4/D
Catalyst weight is related to reactor volume by:
Heat exchange for a PBR:
Steady State Energy Balance (with no work):
Final Form of the Differential Equations in Terms of Conversion:

A.        

Final Form in terms of Molar Flow Rates

 

B.        

If we include pressure drop:

C.       

Note: the pressure drop will be greater for exothermic adiabatic reactions than it will be for isothermal reactions

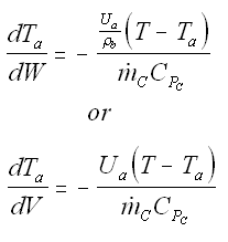
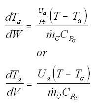
Balance on Heat Exchanger Coolant

Solve simultaneously using an ODE solver (Polymath/MatLab). If Ta is not constant, then we must add an additional energy balance on the coolant fluid:

Co-Current Flow
Counter-Current Flow

with Ta = Tao at W = 0

For an exothermic reaction: with counter current heat exchange

A Trial and Error procedure for counter current flow problems is required to find exit conversion and temperature.

  1. Consider an exothermic reaction where the coolant stream enters at the end of the reactor at a temperature Ta0, say 300 K.
  2. Assume a coolant temperature at the entrance (X = 0, V = 0) to the reactor Ta2 =340 K.
  3. Calculate X, T, and Ta as a function of V. We can see that our guess of 340 K for Ta2 at the feed entrance (X = 0) gives a coolant temperature of 310 K, which does not match the actual entering coolant temperature of 300 K.
  4. Now guess a coolant temperature at V = 0 and X = 0 of 330 K. We see that the exit coolant temperature of Ta2 = 330 K will give a coolant temperature at V = V1 of 300 K.
A ↔ B Liquid Phase Adiabatic
A ↔ B Liquid Phase Constant Ta
A ↔ B Liquid Phase Variable Ta, Co-Current
A ↔ B Liquid Phase Variable Ta, Counter Current
Sketch the Ambient Temperature as a function of V.
Elementary Liquid Phase Reaction
Exothermic, Reversible Reaction
Adiabatic Reaction in a PBR.
PBR with heat exchange.
PBR with heat exchange and variable coolant flow rate.
Nonisothermal Reactions.
Variable Coolant Temperature.


Interstage Cooling/Heating top

Curve A: Reaction rate slow, conversion dictated by rate of reaction and reactor volume. As temperature increases rate increases and therefore conversion increases.
Curve B: Reaction rate very rapid. Virtual equilibrium reached in reaction conversion dictated by equilibrium conversion.

Optimum Inlet Temperature:

Fixed Volume Exothermic Reactor

 

Interstage Cooling:


Interstage Cooling Calculations in terms of x and x'
Reactor staging with cool inerts

CSTR Algorithm (Section 8.6)

1.)

Given X
Find T and V


Solution:
Linear progression of calc T cal k calc KC calc -rA calc V

Adiabatic Liquid Phase in A CSTR

2.)

Given T
Find X and V


Solution:
Linear progression: calc k cal KC calc X calc -rA calc V

Adiabatic Liquid Phase in A CSTR

3.)

Given V
Find X at T
Solution: plot XEB vs. T and XMB vs. T on the same graph:


Sketch XEB versus T
Second Order Reaction in a CSTR


Evaluating the Heat Exchanger Term top


Energy transferred between the reactor and the coolant:

Assuming the temperature inside the CSTR, T, is spatially uniform:

 

At high coolant flow rates the exponential term will be small, so we can expand the exponential term as a Taylor Series, where the terms of second order or greater are neglected, then:

Since the coolant flow rate is high, Ta1Ta2Ta:


Multiple Steady States (MSS) top

CSTR with Heat Effects
From pagem 593 we can obtain

           

where


Finding when R(T) = G(T)
Finding MSS for an Endothermic Reaction

Now we need to find X. We do this by combining the mole balance, rate law, Arrhenius Equation, and stoichiometry.

For the first-order, irreversible reaction A --> B, we have:

where

At steady state:

Substituting for k...

Generating G and R verse T: Single Reaction


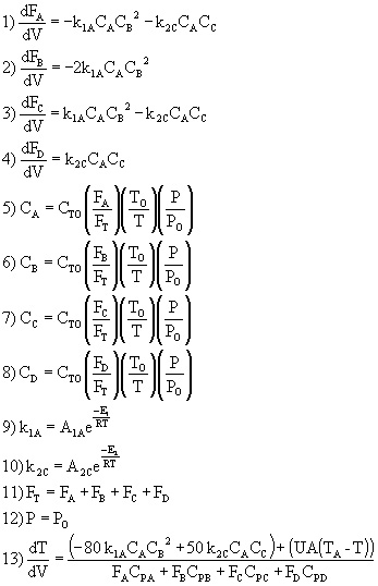
Multiple Reactions with Heat Effects top

To account for heat effects in multiple reactions, we simply replace the term (-delta HRX) (-rA) in equations (8-60) PFR/PBR and (8-62) CSTR by:


PFR/PBR


CSTR


These equations are coupled with the mole balances and rate law equations discussed in Chapter 6.

Textbook Example 8.11 (Alternative Solution)

Complex Reactions

Example: Consider the following gas phase reactions


Combined Mole Balance, Rate Law, Stoichiometry, and Energy Balance:



We now substitute the various parameter values (e.g. delta HRX, E, U) into equations (1)-(13) and solve simultaneously using Polymath.

Alternate Solution to Example 8-12 using Polymath
Multiple Reactions in a PFR with Variable Coolant Temperature
Object Assessment of Chapter 8

Hint for P8-15: G(T) = X(-ΔH°RX). Next Solve for X as a fuction of Γ CS0, μ1max, Cs = CS0(1-X), etc.

 

* All chapter references are for the 4th Edition of the text Elements of Chemical Reaction Engineering .

top