Chapter 8 Example

Example 8.2 Heat Exchange with Constant Ta

The feed consists of both inerts I and Species A with the ratio of inerts to the species A being 2 to 1.

(a) Constant Ta. Plot X, Xe, T, Ta and Rate of disappearance of A when there is a heat loss to the coolant and the coolant temperature is constant at 300 K for V = 40 dm3. How do these curves differ from the adiabatic case?

Reactor

Mole Balance
(1)
Rate Law
(2)
(3)
(4)
Stoichiometry
(5)
(6)
Parameters
(7)-(15)
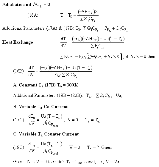
Energy Balance

   

(a) Constant Ta.

Back to Chapter 8