Chapter 8 Self Test

Interstage Cooling

The following endothermic reaction is to be carried out in an interstage reactor system in which inerts are injected between the reactors to increase the temperature.

An inert I is injected at the points shown below:

Sketch the conversion-temperature trajectory for the above reaction system.

 

Hint 1: Sketch Xe vs. T

Hint 2: Sketch X vs. T using the energy balance equation

Hint 3: Complete an energy balance around injector point to calculate T2

Hint 4: Complete an energy balance on the segment after the injector point and a point in the second reactor (Let CPA = CPB.)

Full Solution


 

 

 

 

 

 

Hint 1

For an endothermic reaction, the equilibrium conversion increases with increasing T. Forand Keq=0.1 and T2

Back to Hints

Back to Problem

 

 

 

 

 

 

 

 

 

 

 

 

Hint 2

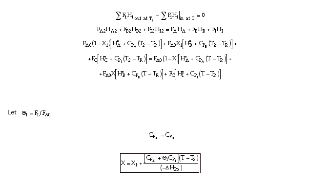
The adiabatic energy balance is 

From the energy balance we know the temperature decreases with increasing conversion.  (The endothermic heat of reaction is positive.)

Only A enters:

or

where (DHRX/CPA) is the slope in each case. 

 

 

Back to Hints

Back to Problem

 

 

 

 

 

 

 

 

 

 

 

 

 

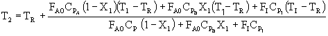
Hint 3

Energy Balance around junction:

Solving for T2

 

If CPA = CPB

 

Back to Hints

Back to Problem

 

 

 

 

 

 

 

 

 

 

 

 

 

 

 

 

Hint 4

Because we are only adding inerts, we can still treat X as the overall conversion up to any point.

Back to Hints

Back to Problem

 

 

 

 

 

 

 

 

 

 

 

 

 

 

 

 

 

An inert I is injected at the points shown below:

Sketch the conversion-temperature trajectory for an endothermic reaction.

Solution

For an endothermic reaction, the equilibrium conversion increases with increasing T. Forand Keq=0.1 and T2

The adiabatic energy balance is 

From the energy balance we know the temperature decreases with increasing conversion.  (The endothermic heat of reaction is positive.)

Only A enters:

or

where (DHRX/CPA) is the slope in each case. 

 

Energy Balance around junction:

Solving for T2

If CPA = CPB

 

 

 

Because we are only adding inerts, we can still treat X as the overall conversion up to any point.


Back to Chapter 8