![]() |
Design Equations and Calculations | ![]() |
|
||
The space time (or the mean residence time), which is the time necessary to process one reactor volume of fluid based on entry conditions, is defined as:

combining this definition with the previously developed design equations for the CSTR (1) and PFR (2) yields:


In order to be able to solve these equations one needs to know how -rA varies with X. The PFR follows Michaelis-Menten kinetics and (for enzyme catalytized digestion) the expression below can be used:


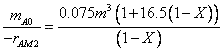
Since VMAX, KM and CA0 all are constants this expression can be rewritten as:



Substituting the parameter values into equation 5 gives:



