![]() |
Digestion | ![]() |
|
||
Design Equations and Calculations
The hippopotamus digestive system is modeled as a CSTR and a PFR in a series. The continuous-stirred tank reactor (or the backmix reactor) is used very commonly in industrial processing and is normally run at steady state. Ideally it is operated to obtain a perfect mixing and therefore modeled as having no spatial variations in concentrations, temperature, or reaction rate throughout the vessel. The plug-flow rector is, as the CSTR, run at steady state and consists of a long cylindrical pipe. The flow is considered turbulent enough so that one can assume that there is no radial variation in concentration.1

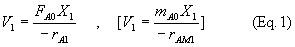
For the system above A represents the grass that makes up the bulk of the hippos normal diet. F is the molar flow of A, m is the mass flow and X represents the conversion of A into proteins, vitamins, minerals and everything else that the hippo needs to survive. The conversion X is defined as:
| Derive |
A simple mole balance over the CSTR gives the following expression:

or in term of the autocatlytic reaction rate for the CSTR:

These two equation can be combined into a familiar expression, a form of the design equation of a CSTR:

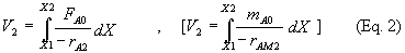
We now consider the case where the digestion also takes place in the intesting following the CSTR. Because of the high acid conten in the intestine microbes can not exist and digestion takes place by enzyme catalytized digestion.
In a similar way a mole balance over the PFR gives us the following expressions:


which can be combined to the design equation of the PFR:

or in this case the more useful form:

Finding correct values of X is of course impossible but fairly good estimates can be done. The overall conversion of all dry matter, i.e. X2, is according to studies of the hippos’ digestive system about 45%3. We further assumed that about 75% of the total conversion occurred in the first part of the digestive system, i.e. the CSTR or the stomach, and 25% in the second part, i.e. the PFR or the intestines. The assumption is based on the volume ratio between the two parts. Studies made of the stomach contents of the hippo are not extensive enough to make any final conclusions but at least the protein contents in different parts of the stomach are in concord with the aforementioned assumption.
In brief this means that when assuming that no conversion occurs before the CSTR and that 75% of the total conversion occurs in the CSTR the values of X will be as follows:


See an equation fit to the data


The volumes of the stomach (CSTR) and the intestines (PFR) are about 0.46 m3 respectively 0.15 m3 , the density of the grass is 306 kg / m3 and the flow rate is assumed to be 40 kg / day based on what is known about the hippos feeding habits and diet. This means that the volumetric flow rate is about 0.13 m3 / day.
click here to see how the constants were determined
