Open the Polymath file by clicking here





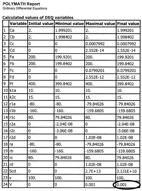
It looks as if the selectivity goes through a maximum, as shown in Figure (A), however, this apparent maximum is a result of numerical inaccuracies at the entrance to the reactor (V = 0) to check if this maximum is real or apparent, we choose a reactor volume at the entrance that is very small 10–3 dm3 and re-run the program, we see in Figure (B) that there is no maximum and that the selectivity decreases as we go down the reactor and the volume increases.
