| Types of Multiple Reactions Selectivity and Yield | top |
Use molar flow rates and concentrations; DO NOT use conversion!
There are 4 classes of Multiple Reactions.
1. Parallel Reactions
2. Series Reactions
3. Complex Reactions: Series and Parallel aspects combined
4. Independent Reactions

Independent reactions typically occur in the catalytic cracking of crude oil to form gasoline.
Reaction Video: Some multiple reaction systems oscillate, recreating the reactants when certain conditions are met.
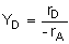
There are two types of selectivity and yield: Instantaneous and Overall.
| Instantaneous | Overall | |
| Selectivity | ||
| Yield | ||
| Example: | To maximize the selectivity of D with respect to U run at high concentration of A and use PFR |
|
| Parallel Reactions | top |

| Series Reactions | top |
Example: Series Reaction in a batch reactor
This series reaction could also be written as
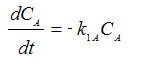
Reaction (1)
: -r1A=k1CA
Reaction (2)
: -r2B=k2CB
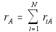
Species A:Combined mole balance and rate law for a control volume batch reactor. |
![]() |
Net Rate of Reaction of A |
|
|---|---|
| rA=r1A+0 | |
Rate Law |
|
| r1A=-k1ACA | |
Relative Rates |
|
| r1B=-r1A | |
![]() |
|
| Integrating with CA=CA0 at t=0 and then rearranging |
|
Mole Balance |
|
Species B: |
|
Net Rate of Reaction of B |
|
Rate Law |
|
| r2B=-k2CB | |
Relative Rates |
|
Combine |
|
Using the integrating factor, i.f.: |
|
Evaluate |
|
at t = 0, CB = 0 |
|
When should you stop the reaction to obtain the maximum amount of B? Let's see. |
|
Optimization of the Desired Product B |
|
![]() |
|
Then |
|
| Species C | CC = CA0 - CB - CA |
And |
![]() |
Schemes for maximizing the selectivity for Van Der Vusse Kinetics
![]()
Can be found at the following web site http://www.wits.ac.za/centres/comps/AR/index.htm
| Algorithm for Complex Reactions | top |
| Reactor Type | Gas Phase | Liquid Phase |
|---|---|---|
| Batch | ||
| Semibatch | ||
| CSTR | ||
| PFR | ||
| PBR |
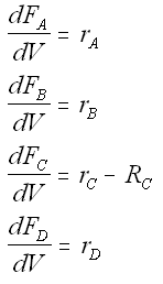
Rates NOTE: The reaction rates in the above mole balances are net rates.
The new things for multiple reactions that build on Table 6.1 and 6.2 are
|
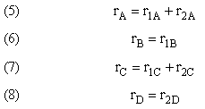
Stoichiometry
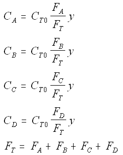
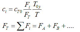
NOTE: We could use the gas phase mole balance for liquids and then just express the concentration as
Flow CA = FA/υ0
Batch CA = NA/V0
| Applications of Algorithm | top |
|
These reactions will be used in the following 5 examples
• Liquid Phase PFR
• Liquid Phase CSTR
• Gas Phase PFR no ΔT
• Gas Phase Membrane Reactor with ΔT
• Liquid Phase Semibatch Reactor
The complex liquid phase reactions follow elementary rate laws
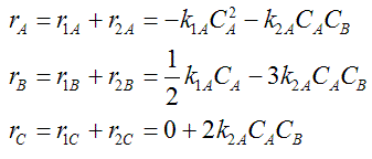
| (1) | A + 2B → C | -r1A = k1ACACB2 |
| (2) | 2A + 3C → D | -r2C = k2CCA2CB3 |
and take place in a PFR. The feed is equal molar in A and B with FA0 = 200 mol/min and the volumetric flow rate is 100 dm3/min. The reaction volume is 50 dm3 and the rate constants are

Plot FA, FB, FC, FD and SC/D as a function of V
Liquid PFR
Mole Balances
Net Rates
Rate Laws
Relative Rates
Selectivity
If one were to write SC/D = FC/FD in the Polymath program, Polymath would not execute because at V = 0, FC = 0 resulting in an undefined volume (infinity) at V = 0. To get around this problem we start the calculation 10-4 dm3 from the reactor entrance where FD will note be zero and use the following IF statement.
Stoichiometry
Parameters
Would you like to see the
results for Example A: Multiple Reactions, PFR, Liquid Phase
Would you like to run
for Example A: Multiple Reactions, PFR, Liquid Phase
Same reactions, rate laws, and rate constants as example A
(1) |
NOTE: The specific reaction rate k1A is |
||
(2) |
NOTE: The specific reaction rate k2C is |
The complex liquid phase reactions take place in a 2,500 dm3 CSTR. The feed is equal molar in A and B with FA0 = 200 mol/min, the volumetric flow rate is 100 dm3/min and the reaction volume is 50 dm3.
Find the concentrations of A, B, C, and D exiting the reactor along with the exiting selectivity.
Plot FA, FB, FC, FD and SC/D as a function of V
Liquid CSTR
Mole Balances
Net Rates
Rate Laws
Relative Rates
Selectivity
Parameters
Would you like to see the
results for Example B: Multiple Reactions, CSTR, Liquid Phase
Would you like to run
for Example B: Multiple Reactions, CSTR, Liquid Phase
Same reactions and rate laws as previous two examples
(1) |
NOTE: The specific reaction rate k1A is |
||
(2) |
NOTE: The specific reaction rate k2C is |
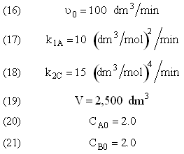
The complex gas phase reactions take place in a PFR. The feed is equal molar in A and B with FA0 = 10 mol/min and the volumetric flow rate is 100 dm3/min. The reactor volume is 1,000 dm3, there is no pressure drop, the total entering concentration is CT0 = 0.2 mol/dm3 and the rate constants are

Plot FA, FB, FC, FD and
C/D as a function of V
Gas Phase PFR, No Pressure Drop
Mole Balances
Net Rates
Rate Laws
Relative Rates
Selectivity
Stoichiometry
Parameters
Would you like to see the
results for Example C: Multiple Reactions, Gas Phase
Would you like to run
for Example C: Multiple Reactions, Gas Phase
Same reactions and rate laws as previous two examples
(1) |
NOTE: The specific reaction rate k1A is |
||
(2) |
NOTE: The specific reaction rate k2C is |
The complex gas phase reactions take place in a catalytic packed bed with C diffusing out the sides. The feed is equal molar in A and B with FA0 = 10 mol/min and the volumetric flow rate is 100 3/min. The reactor volume is 50 dm3 and the total entering concentration is CT0 = 0.2 mol/dm3. There is pressure drop and entering pressure is 100 atm and the rate constants are

The pressure drop parameter αρb = 0.0405 dm-3
The mass transfer coefficient for C is kcc = 2 min–1
Plot FA, FB, FC, FD and SC/D as a function of V for
(a) Case 1 CCsg = 0
(b) Case 2 CCsg ≠ 0,![]()
Set Fosg = 0.1 mol/min and vary
(5 <
< 10,000)
Are there a set of conditions whereby (CCsg < CC) and RC changes sign and Species C diffuses back into the membrane reactor near the exit? Run the Polymath program when αρb = 0 and compare RC with the base case when there IS pressure drop (αρb = 0.0405 dm-3)
Gas Phase Multiple Reactions in a Catalytic Packed Bed Membrane Reactor with Pressure Drop
Mole Balances
We also need to account for the molar rate desired product C leaving in the sweep gas FCsg
Rate Laws
- Net rates, rate laws and relative rates same as Liquid and Gas Phase PFR and Liquid Phase CSTR.
- Transport Law
Case 1 Large sweep gas velocityCase 2 Moderate to small sweep gas velocity
Varyto see changes in profiles
Case 2A Pressure Drop
Case 2B No Pressure DropStoichiometry
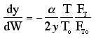
We need to reconsider our pressure drop equation when one or more species diffuse out of the reactor. Recall the pressure drop equation is
with
Warning!!
When mass diffuses out of a membrane reactor as there will be a decrease in the superficial mass flow rate
and hence G. To account for this decrease in calculating our pressure drop parameter , we will take the ratio of the superficial mass velocity at any point in the reactor to the superficial mass velocity at the entrance to the reactor. The superficial mass flow rates can be obtained by multiplying the species molar flow rates, Fi, by their respective molecular weights, MWi, and then summing over all species
Because the smallest molecule is the one diffusing out and has the lowest molecular weight, we will neglect the changes in the mass flow rate down the reactor and will take as a first approximation.
Isothermal (T = T0) and multiply both sides of the pressure drop equation by the bulk density, ρb
Selectivity
Need to include C collected from sweep gas
Parameters
Would you like to see the
results for Example D: Multiple Reactions, Membrane, Gas Phase, with Pressure Drop
Would you like to run
for Example D: Multiple Reactions, Membrane, Gas Phase, with Pressure Drop
Same reactions, rate laws, and rate constants as example A
(1) |
NOTE: The specific reaction rate k1A is |
||
(2) |
NOTE: The specific reaction rate k2C is |
The complex liquid phase reactions take place in a semibatch reactor where A is fed to B with FA0 = 3 mol/min. The volumetric flow rate is 10 dm3/min and the initial reactor volume is 1,000 dm3.
The maximum volume is 2,000 dm3 and CA0 = 0.3 mol/dm3 and CB0 = 0.2 mol/dm3. Plot CA, CB, CC, CD and SC/D as a function of time.
Liquid Phase Multiple Reactions in a Semibatch Reactor
Mole Balances
Net Rates, Rate Laws and relative rates – are the same as Liquid and Gas Phase PFR and Liquid Phase CSTR.
Stoichiometry
Selectivity
Parameters
Would you like to see the
results for Example E: Semibatch, Liquid Phase
Would you like to run
for Example E: Semibatch, Liquid Phase
Explore the cobra bites web module
* All chapter references are for the 1st Edition of the text Essentials of Chemical Reaction Engineering .