The reactions:
are elementary. Write the net rates of formation for A, B, C and D.
Hint 1: What is the net rate of formation of A?
Hint 2: What is the net rate of formation of B?
Hint 3: What is the net rate of formation of C?
A.
B.
C.
The reactions:
are elementary. Write the net rates of formation for A, B, C and D.
A.
![]()
![]()
B.
![]()
![]()
![]()
C.
![]()
![]()
![]()
![]()
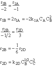
D.
![]()
These net rates of reaction are now coupled with the appropriate mole balance of A, B, C, and D and solved using a numerical software package.
For example for a PFR:

etc.