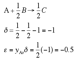
For the gas phase reaction the feed is equal molar in A and B. Calculate e. Solution A is the limiting reactant Back to Chapter 4
For the gas phase reaction
the feed is equal molar in A and B. Calculate e.
Solution
A is the limiting reactant
Back to Chapter 4