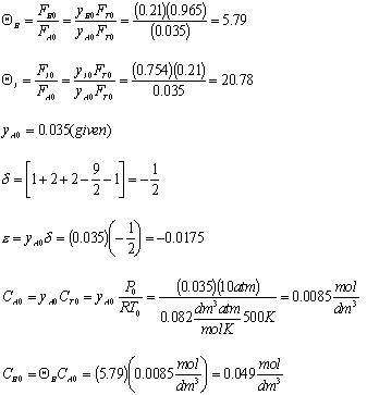
We are going to rework the class problem for the case of 3.5% naphthalene and 96.7% air and for a pressure of 10 atm and a temperature of 500K. A feed under these conditions naphthalene is the limiting reactant.
| Species | Symbol | In | Change | Out |
| Naphthalene | A | NA0 | -NA0X | NA = NA0(1-X) |
| Oxygen | B | NB0 = |
-9/2NA0X | NB = NA0( |
| Phthalic Anhydride | C | NC = 0 | +NA0X | NC = NA0X |
| Carbon Dioxide | D | ND = 0 | +2NA0X | ND = 2NA0X |
| Water | E | NE = 0 | +2NA0X | NE = 2NA0X |
| Nitrogen | I | NI = |
--- | NI = |
| Total | NT0 | NT = NT0 + |
||
| Species | Symbol | In | Change | Out |
| Naphthalene | A | FA0 | -FA0X | FA = FA0(1-X) |
| Oxygen | B | FB0 = |
-9/2FA0X | FB = FA0( |
| Phthalic Anhydride | C | FC = 0 | +FA0X | FC = FA0X |
| Carbon Dioxide | D | FD = 0 | +2FA0X | FD = 2FA0X |
| Water | E | FE = 0 | +2FA0X | FE = 2FA0X |
| Nitrogen | I | FI = |
--- | FI = |
| Total | FT0 | FT = FT0 + |

Gas Phase Flow System:
Constant pressure and isothermal: P = Po; T = To
Constant pressure and isothermal: P = Po; T = To
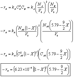
Rate Law: -rA = kAC2ACB

