Chapter 4 Self Test

Matching CA vs. X Curves

Match the following concentration- conversion curves (a-g) with the corresponding reaction and reaction conditions for a flow reactor at constant temperature and pressure.

(a) (b) (c)
(d) (e) (f)
(g)

 

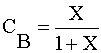
1) Gas phase, Pure A, CA0=1                         

a   b   c   d   e   f   g

2) Gas phase, CA0=CB0=1                             

a   b   c   d   e   f   g

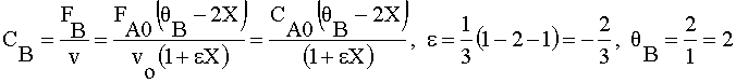
3) Liquid phase, Pure A, CA0=1                      

a   b   c   d   e   f   g

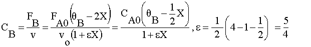
4) Gas phase, Stoichiometric Feed, CA0=1/2       

a   b   c   d   e   f   g

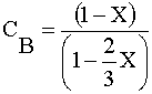
5) Gas phase, CA0=CB0=0.5                           

a   b   c   d   e   f   g 


Full Solution

 

 

 

 

 

 

 

 

 

 

 

 

 

 

 

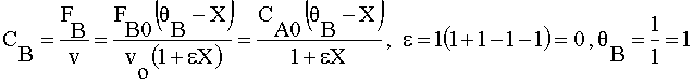
Solution 1

 

Ans(g)

Back to Problem 1

Problem 2

 

 

 

 

 

 

 

 

 

 

 

 

 

 

 

 

 

 

 

Solution 2

 

Ans(b)

Back to Problem 2

Problem 3

 

 

 

 

 

 

 

 

 

 

 

 

 

 

 

 

 

 

 

 

 

 

 

 

Solution 3

 

       Ans(a)

Back to Problem 3

Problem 4

 

 

 

 

 

 

 

 

 

 

 

 

 

 

 

 

 

 

 

 

 

 

Solution 4

 

Ans(e)

Back to Problem 4

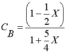
Problem 5

 

 

 

 

 

 

 

 

 

 

 

 

 

 

 

 

 

 

 

 

 

 

 

 

Solution 5

Ans(c)

Back to Problem 5

 

 

 

 

 

 

 

 

 

 

 

 

 

 

 

 

 

 

 

 

 

 

 

 

 

 

 

 

Match the following concentration- conversion curves (a-g) with the corresponding reaction and reaction conditions for a flow reactor at constant temperature and pressure.

1) Gas phase, Pure A, CA0=1

2) Gas phase, CA0=CB0=1

3) Liquid phase, Pure A, CA0=1

4) Gas phase, Stoichiometry Feed, CA0=1/2

5) Gas phase, CA0=CB0=0.5


(a) (b) (c)
(d) (e) (f)
(g)

Solution

1)

Ans(g)

2)

Ans(b)

3)

Ans(a)

4)

Ans(e)

5)

Ans(c)


Back to Chapter 4