12. Steady-State Non-Isothermal Reactor Design : The Steady State Energy Balance and Adiabatic PFR Applications
*
|
Applications of the PFR/PBR User Friendly Energy Balance Equations
|
top
|
NOTE: The PFR and PBR formulas are very similar.
|
|
| |
|
|
If we include pressure drop: |
C. 
|
Note: the pressure drop will be greater for exothermic adiabatic reactions than it will be for isothermal reactions |
|
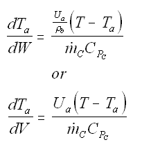
Balance on Heat Exchanger Coolant
Solve simultaneously using an ODE solver (Polymath/MatLab). If Ta
is not constant, then we must add an additional energy balance on
the coolant fluid: |
| Co-Current Flow |
|
|
| Counter-Current Flow |
with Ta = Tao at W = 0 |
For an exothermic reaction: with counter current heat exchange
A Trial and Error procedure for counter current flow problems is required to find exit conversion and temperature.
- Consider an exothermic reaction where the coolant stream enters at the end of the reactor at a temperature Ta0, say 300 K.
- Assume a coolant temperature at the entrance (X = 0, V = 0) to the reactor Ta2 =340 K.
- Calculate X, T, and Ta as a function of V. We can see that our guess of 340 K for Ta2 at the feed entrance (X = 0) gives a coolant temperature of 310 K, which does not match the actual entering coolant temperature of 300 K.
- Now guess a coolant temperature at V = 0 and X = 0 of 330 K. We see that the exit coolant temperature of Ta2 = 330 K will give a coolant temperature at V = V1 of 300 K.

A ↔ B Liquid Phase Adiabatic

A ↔ B Liquid Phase Constant T
a

A ↔ B Liquid Phase Variable T
a, Co-Current

A ↔ B Liquid Phase Variable T
a, Counter Current

Sketch the Ambient Temperature as a function of V.

Elementary Liquid Phase Reaction

Exothermic, Reversible Reaction

Adiabatic Reaction in a PBR.

PBR with heat exchange.

PBR with heat exchange and variable coolant flow rate.

Nonisothermal Reactions.

Variable Coolant Temperature.
*
All chapter references are for the 1st Edition of the text Essentials of Chemical Reaction Engineering
.
top