Chapter 12 Example

Adiabatic Reaction in a PBR

The elementary adiabatic reaction

is carried out adiabatically in a PBR.

We want to determine both the conversion and temperature profiles

Write a Polymath program to plot X and T vs. W.

Solution


 

 

 

 

 

 

Solution

Mole Balance

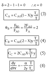
Rate Law

Stoichiometry

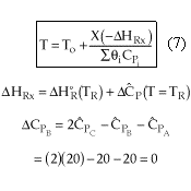
Energy Balance: Adiabatic

Heat of reaction is independent of temperature.

Why do you think the conversion and temperature curves become flat after a catalyst weight of 1200 kg?

Back to Chapter 12