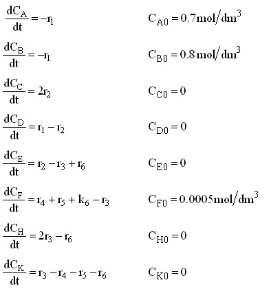
Mechanism 1 Full Set of Equations
Combined Mole Balances and Rate Laws
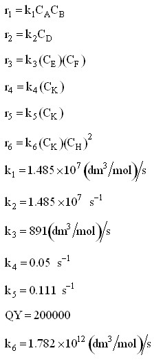
| POLYMATH Report | No Title |
| Ordinary Differential Equations | 09-Mar-2006 |
| Variable | Initial value | Minimal value | Maximal value | Final value | |
| 1 | t | 0 | 0 | 3600. | 3600. |
| 2 | Ca | 0.7 | 1.933E-98 | 0.7 | 1.933E-98 |
| 3 | Cb | 0.8 | 0.1 | 0.8 | 0.1 |
| 4 | Cc | 0 | 0 | 1.4 | 1.4 |
| 5 | Cd | 0 | -2.902E-25 | 2.749E-25 | -1.702E-27 |
| 6 | Ce | 0 | 0 | 0.6998896 | 0.6995777 |
| 7 | Ch | 0 | 0 | 0.0008447 | 0.0008447 |
| 8 | Cf | 0.0005 | 0.0004965 | 0.0005 | 0.0004998 |
| 9 | Ck | 0 | 0 | 3.533E-06 | 2.45E-07 |
| 10 | k4 | 0.05 | 0.05 | 0.05 | 0.05 |
| 11 | k6 | 1.782E+12 | 1.782E+12 | 1.782E+12 | 1.782E+12 |
| 12 | r6 | 0 | 0 | 0.3115108 | 0.3115108 |
| 13 | r4 | 0 | 0 | 1.767E-07 | 1.227E-08 |
| 14 | QY | 2.0E+05 | 2.0E+05 | 2.0E+05 | 2.0E+05 |
| 15 | k1 | 1.485E+07 | 1.485E+07 | 1.485E+07 | 1.485E+07 |
| 16 | k2 | 1.485E+07 | 1.485E+07 | 1.485E+07 | 1.485E+07 |
| 17 | k3 | 891. | 891. | 891. | 891. |
| 18 | rEMIT | 0 | 0 | 0.0353308 | 0.0024547 |
| 19 | r1 | 8.316E+06 | -5.855E-92 | 8.316E+06 | -5.855E-92 |
| 20 | r2 | 0 | -4.309E-18 | 4.082E-18 | 1.798E-19 |
| 21 | r3 | 0 | 0 | 0.311509 | 0.311509 |
| 22 | k5 | 0.111 | 0.111 | 0.111 | 0.111 |
| 23 | r5 | 0 | 0 | 3.922E-07 | 2.725E-08 |
| 1 | d(Ca)/d(t) = -r1 |
| tcpo | |
| 2 | d(Cb)/d(t) = -r1 |
| h2o2 | |
| 3 | d(Cc)/d(t) = (2 * r2) |
| PhOH | |
| 4 | d(Cd)/d(t) = (r1 - r2) |
| peroxyacid | |
| 5 | d(Ce)/d(t) = (r2 + r6 - r3) |
| 1,2-dioxetanedione | |
| 6 | d(Ch)/d(t) = -2 * r6 + 2 * r3 |
| CO2 | |
| 7 | d(Cf)/d(t) = r5 + r4 + r6 - r3 |
| dye | |
| 8 | d(Ck)/d(t) = r3 - r4 - r5 - r6 |
| complex |
| 1 | k4 = 0.05 |
| 2 | k6 = 1.782 * 10 ^ 12 |
| 3 | r6 = k6 * Ck * (Ch) ^ 2 |
| 4 | r4 = k4 * Ck |
| 5 | QY = 200000 |
| quantum yield (overall height) | |
| 6 | k1 = 1.485 * 10 ^ 7 |
| 7 | k2 = 1.485 * 10 ^ 7 |
| 8 | k3 = 891 |
| 9 | rEMIT = r4 * QY |
| light as a function of time | |
| 10 | r1 = k1 * Ca * Cb |
| 11 | r2 = k2 * Cd |
| 12 | r3 = k3 * Cf * Ce |
| 13 | k5 = 0.111 |
| 14 | r5 = k5 * Ck |
| Total number of equations | 22 |
| Number of differential equations | 8 |
| Number of explicit equations | 14 |
| Elapsed time | 1.157 sec |
| Solution method | stiff |
| Independent variable accuracy. eps | 0.00001 |
| First stepsize guess. h1 | 0.0001 |
| Minimum allowed stepsize. hmin | 0.00000001 |
| Good steps | 275 |
| Bad steps | 94 |
Figure 2. Predicted light emitted as a function of time.
However, we note that the chemiluminescensce-time curve obtained from the Polymath program requires fine turning of the parameter values is necessary to get an exact match with the data.