Psuedo-Steady State Hypothesis
| Prev |
Mechanism (2) Use of Pseudo Steady State Hypothesys
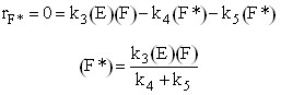
We are now to simplify the reaction sequence (Same symbols as in Mechanism (1)) to Mechanism (2). To arrive at Mechanism (2) we neglect the reverse reaction (k6 = 0) in Mechanism (1) and apply the PSSH to the active dye intermediate, F* (i.e., K)

The rate of chemiluminescensce is

For large k4
We also assume that the Flourophore becomes inactive once it emits light. With these simplifications reaction (4) is no linger required and Mechanism (2) is given by the equations in the following box.
Mechanism (2)
Here we assume part of the flourophore dye is either used up or made inactive in reaction (3) and that reaction (4) in the previous section has been eliminated and incorporated in the new reaction (3). Actually one could use the PSSH in Mechanism (1) to rationalize Mechanism (2).
| Prev |