H-NMR SPECTRAL CORRELATION

 
HNMR
 
2
s

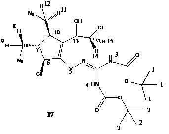
H-NMR peaks for Compound 17
The peaks as 9.40 and 9.36 represent hydrogens 3 and 4 because these hydrogens are bound to N atoms and are therefore most de-shielded.  3 is slightly more deshielded than 4 because of it is slightly closer in proximity to the Cl in the compoud.  The peak at 7.26 represents CHCl3 mixed in with solvent CDCl3.  Next is the peak at 5.03, which represents 13 because this H is bound to a C bound to an O.  It is strange that this peak appears as a doublet- a doublet of doublets is expected.  Next is the peak at 4.93 which, along with the peak at 3.74, represents the diastereotopic H groups, 8 and 9.  It makes sense that these peaks are doublets of doublets, and it makes sense that they are the most deshielded doublets of doublets because they are on a carbon bound to an azide group, and they are close to the chlorine substituent on the ring.  However it is quite strange that there is such a large gap between them.  The peak at 4.61 represents group 6 because this H group is bound to a C bound to a Cl, and this group is near the double bond, further de-shielding it.  The peak at 4.51 represents group five, which makes sense because this group has no neighbors (the peak is a singlet) and because this group is bound to a C bound to a N and it is near double bonds, which de-shields it.  It is strange that this peak has 1H integration (2H is expected).  Next is the multiplet from 3.67-3.63 which represents group 7.  This is because this group is near a chlorine, azide group, and double bond.  Also, it has four neighbors, making it a multiplet.  It is strange though that this peak has 2H integration (1H is expected).  The peaks at 3.56 and 3.32 represent groups 11 and 12.  These diastereotopic are the second most de-shielded set of doublets of doublets because they are bound to a carbon near a double bond and bound to an azide group.  The 3.17 peak, along with the 2.59 peak, represent groups 14 and 15.  These diastereotopic hydrogens are the least deshielded set of doublets of doublets because they are on a carbon bound to a chlorine.  It is strange that there is such a large gap between these two peaks.  The multiplet between 2.68-2.64 represents group 10 because this H is on a carbon next to a double bond.  The 9H peaks at 1.59 and 1.47 represent groups 1 and 2 because these H’s are part of the isolated t-butyl groups.  Group 1 is slightly more deshielded than group 2 because of its proximity to the Cl in the compound.  The peak at 1.2 is some left over ethyl acetate, and the 0.00 peak is the TMS reference peak.