About Us

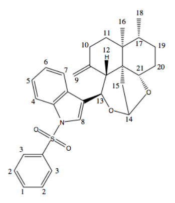
Mouse over the peak assignments in the table to see the corresponding Hydrogen atoms and NMR peaks!

1 2 2 3 3 4 5 6 7 8 9 10 11 12 13 14 15 16 17 18 19 20 21

1 2 3 4 5 6 7 8 9 10 11 12 13 14 15 16 18 17 19 20 21
Table 1 2 3 4 5 6 7 8 9 10 11 12 13 14 15 16 17 18 19 20 21