| SSG HOME |
| MAIN PAGE |
| EXPERIMENTAL |
| MECHANISM |
| H-NMR CORRELATION |
| LEADING QUESTIONS |
| REFERENCES |
| ABOUT US |
80_______________________________________________________________________76 |
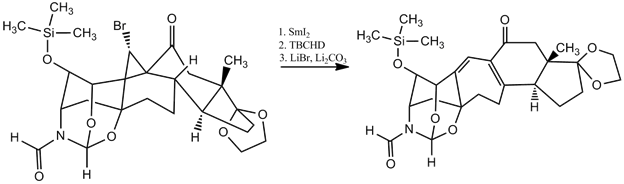
Ring Opening of the Bromocyclopropane – Scheme of Synthesis of Cortistatin A The purpose of the publication “Scalable Synthesis of Cortistatin A and Related Structures” is to improve the synthesis of Cortistatin A by utilizing prednisone as a starting material due to its lower cost and greater availability. The synthesis of Cortistatin A is important due to the molecule’s potential in anti-angiogenic activity and its scarce availability in nature. The reaction from starting with molecule 80 is the ring-opening of the bromocyclopropane portion of the synthesis through use of SmI2, a reducing agent, and the subsequent elimination, with LiBr and Li2CO3, to form molecule 76. |