Lattice Models & Large Cluster Dynamical Mean Field theory
Lattice models appear as low-energy effective models in condensed matter systems. Typical examples are the Ising model and the Hubbard model. Lattice models also appear in high energy physics.
The ‘strongly correlated’ or ‘non-perturbative’ regime of fermionic lattice models is only accessible with numerical methods. We use the cluster dynamical mean field theory, which is a controlled approximation that becomes exact in the limit of infinite system size, to access the equation of state of lattice models directly in the thermodynamic limit.
New numerical algorithms and large computers make it possible to access impurity clusters with up to 100 impurity sites.
Example
The Hubbard model in three dimension can be ‘emulated’ by cold fermionic gases. Using continuous-time methods and the cluster dynamical mean field approximation combined with an extrapolation to the infinite system size we were able to obtain numerically exact values in the entire phase space above the Néel transition.
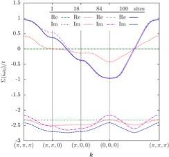
Our energy, double occupancy, and entropy curves can now be used for thermometry in experiment. The convergence of the lowest component of the Matsubara self-energy as a function of cluster size for clusters with up to 100 sites is illustrated below. The plots show that as temperature is lowered (from T/t=1 to T/t=0.35 and, finally, T/t=0.35) the self-energy slowly develops structure in k-space and starts to build up anti-ferromagnetic correlations.



The ‘DCA’ variant of cluster DMFT works by discretizing the many-body self-energy in reciprocal space. Here is a picture of a gradual refinement of the Brillouin zone:

Relevant Publications
Solutions of the Two Dimensional Hubbard Model: Benchmarks and Results from a Wide Range of Numerical Algorithms, J. P. F. LeBlanc, Andrey E. Antipov, Federico Becca, Ireneusz W. Bulik, Garnet Kin-Lic Chan, Chia-Min Chung, Youjin Deng, Michel Ferrero, Thomas M. Henderson, Carlos A. Jiménez-Hoyos, E. Kozik, Xuan-Wen Liu, Andrew J. Millis, N. V. Prokof'ev, Mingpu Qin, Gustavo E. Scuseria, Hao Shi, B. V. Svistunov, Luca F. Tocchio, I. S. Tupitsyn, Steven R. White, Shiwei Zhang, Bo-Xiao Zheng, Zhenyue Zhu, Emanuel Gull Phys. Rev. X 5, 041041 (2015).
Sub-matrix updates for the Continuous-Time Auxiliary Field algorithm,
Emanuel Gull, Peter Staar, Sebastian Fuchs, Phani Nukala, Michael S. Summers, Thomas Pruschke, Thomas Schulthess, Thomas Maier,
Phys. Rev. B 83, 075122 (2011).
For more publications see the arXiv and in the publication list