Pseudogap and Superconductivity in the Hubbard Model
The Hubbard model is believed to capture many of the salient features of high Tc materials. What aspects exactly are contained within the single-band Hubbard model and what lies outside of its scope requires careful numerical analysis. Here are some results:
Pseudogap
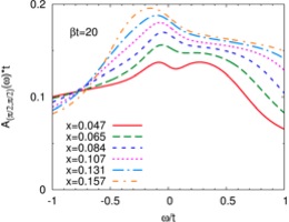
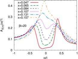
The pseudogap, a `suppression’ of the density of states in the antinodal part of the Brillouin zone but not in the nodal part, is an intrinsic feature of the Hubbard model. These two graphs show the evolution of the pseudogap as a function of doping and the size of the pseudogap, as a function of doping, at the node (left) and at the antinode (right). It is clearly visible how a gap opens at the antinode, while the density of states at the node shows little change.


Superconductivity
The Hubbard model has shown to be d-wave superconducting at weak interactions and in some specialized `plaquette’ calculations. We could recently show that the Hubbard model is also superconducting in the regime of intermediate interaction (~bandwidth), which is the regime relevant for the cuprates. Here is a phase diagram on a four-, eight- and sixteen-site cluster (in the paramagnetic / d-wave superconducting phase):

On the larger clusters (right) the d-wave superconducting region (in red) is clearly separated from the Mott phase (green) by an intermediate pseudogap phase (light blue), which is absent on the smaller four-site clusters (top left) due to finite size effects.
Relevant Publications
Superconducting Fluctuations in the Normal State of the Two-Dimensional Hubbard Model
Xi Chen, J. P. F. LeBlanc, and Emanuel Gull
Phys. Rev. Lett. 115, 116402 (2015)
Superconductivity and the Pseudogap in the Two-Dimensional Hubbard Model
Emanuel Gull, Olivier Parcollet, and Andrew J. Millis
Phys. Rev. Lett. 110, 216405 (2013)