Chapter 15: Diffusion and Reaction in Porous Catalysts
Professional Reference Shelf
Example CD12-1: Trickle Bed Reactor
| The hydrogenation of an unsaturated organic is to be carried out in a trickle bed reactor packed with 0.20-cm-diameter spherical catalyst particles. | ||
|
||
The reaction in the pellet is first-order in both hydrogen and the
organic. Hydrogen and nitrogen are fed in equimolar portions at a total pressure
of 20 atm and a total molar rate of 10 mol/s. The reactor diameter is to be 1.0
m. The superficial liquid mass velocity is 5.0 kg/m 2 s. The corresponding pressure
gradient through the bed is 25 kPa/m.As a first approximation, assume that the concentration of organic is constant and the pseudo-first-order specific reaction rate is 3 x 10 -5 m 3 / kg cat. s at 400 K.
|
||
| (a) For each transport step, determine its fraction of the
total resistance to mass transport and reaction. (b) Calculate the catalyst weight necessary to achieve 55% conversion of the hydrogen. |
||
| Additional information: | ||
|
||
| (a) Let A = H 2
, B = unsaturated organic, and C = saturated organic:
|
||
| 1.Mole balance on H 2 (A): | ||
|
(CDE12-1.1) | |
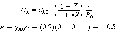
| 2. Rate law.Assuming a constant liquid reactant concentration for low conversion of B, | ||
|
(CDE12-1.2) | |
| with | ||
|
(CDE12-1.3) |
|
| 3 .Stoichiometry. The isothermal gas-phase concentration is |
||
|
(CDE12-1.4) | |
| 4. Pressure drop: | ||
|
(CDE12-1.5) |
|
| 5. Combining yields | ||
|
(CDE12-1.6) | |
| Integrating gives us | ||
|
(CDE12-1.7) |
|
| 6. Evaluating the parameters: A.Solubility |
||
![]() |
(CDE12-1.8) |
|
| B. Internal diffusion and reaction | ||
![]() | (CDE12-1.9) (CDE12-1.10) |
|
| For large values of the Thiele modulus, | ||
| (12-1) (CDE12-1.11) |
|
| C. Gas absorption | ||
![]() |
(CDE12-1.12) (TCD12-1A) |
|
|
||
| D. Transport from gas-liquid interface to bulk liquid | ||
![]() |
(CDE12-1.13) |
|
| From the correlation for organic liquids, | ||
|
(CDE12-1.14) | |
| It has been noted 5 that this correlation gives a mass transfer coefficient that is too low | ||
|
||
| E. Resistance from bulk liquid to catalyst | ||
![]() |
(CDE12-1.15) (TCD12-IF) |
|
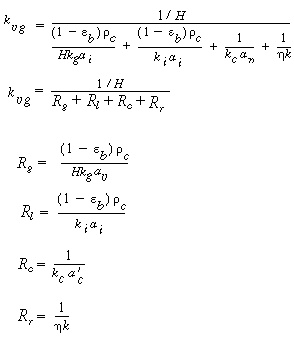
| F. Total and percentage resistances | ||
R T = R c + R l + R g + R R = ![]() |
(CDE12-1.16) | |
| Individual resistances: | ||
|
||
| (b) Calculate catalyst weight | ||
|
(CDE12-1.7) (CDE12-1.17) |
|
| Substitution yields | ||
![]() |
||
| Solving, for W, we obtain | ||
W = 34,500 kg |
||
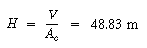
| The reactor volume corresponding to this catalyst weight is | ||
|
||
| The total height of the reactor | ||
|
||
| Four 1-m-diameter towers each 12.2 m in height connected in series will be sufficient. | ||
Checking assumption of constant C B |
||
![]() |
||
| Consequently, our assumption that the concentration of organic is essentially constant was valid. | ||

s. The corresponding pressure
gradient through the bed is 25 kPa/m.























