Click above to watch the Birch and Bouveault-Blanc Reduction mechanisms in action.
Check out some more interesting "Behind the Scenes" content about the Birch Reduction.
View the spectroscopy of methyl enol ether 12.
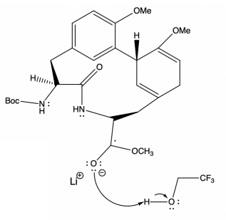
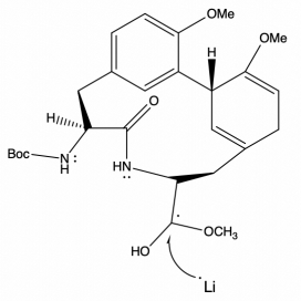
View the stages of the reaction from 12 to 13.

Only member of the group who has a Netflix account, or who watches any TV at all. She's majoring in STEM to hide the fact that she never learned how to read.

She is good at finding a seat on the first row of lecture halls and looking straight at the professors. She works at Bert’s Cafe because of her urgent need of coffee and financial inadequacy.

He drinks way too much caffeine. It would appear that he’s severely allergic to sleep as records show that he’s done many all-nighters throughout the semester- once even going 3 days straight without sleep.

People simply know him as “THE LEGEND”.

Honestly, if he had the chance, he could probably finish your honors cup blindfolded.

He can identify a missing step in your mechanism or name that odd doublet of doublet of doublets in your spectra from a mile away.

An apprentice to Dr. Nagorny. You can tell that he knows he’s a real winner.