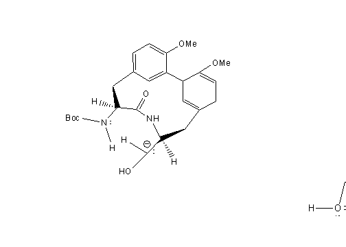
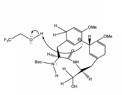
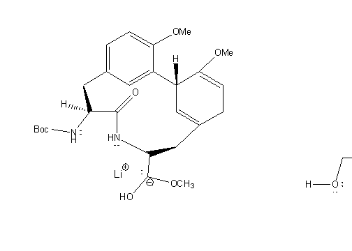
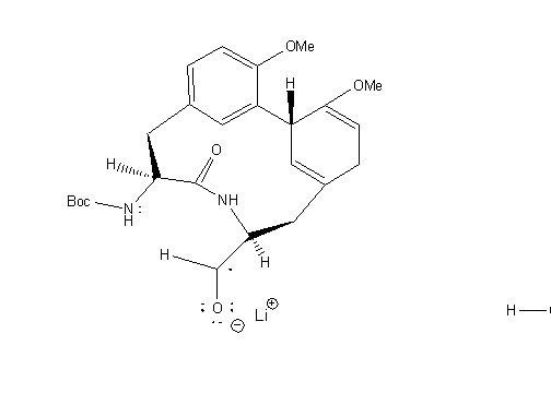
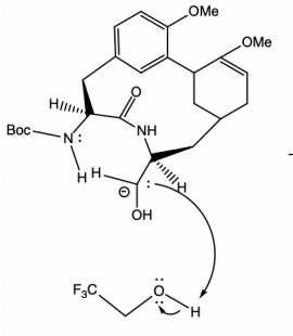
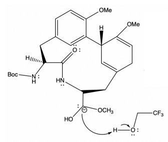
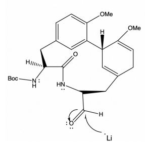
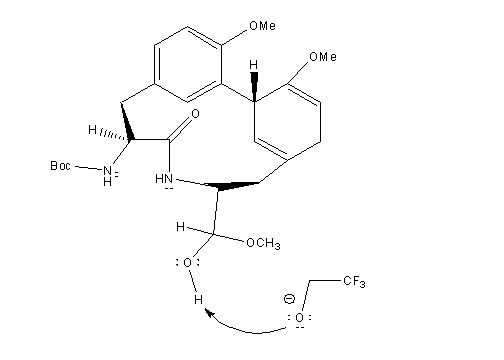
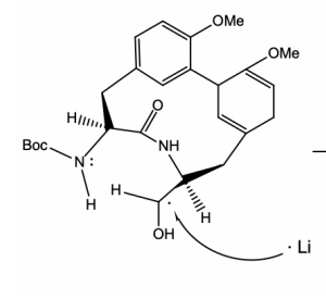
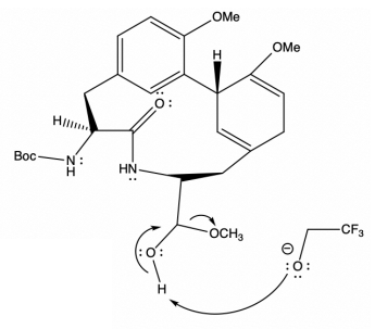
Mechanism of Conversion from 12 to 13

Home / Watch Movie
  • All
  • Birch Reduction
  • Bouveault-Blanc Reduction
Bouveault-Blanc Reduction

Bouveault-Blanc Reduction Step 1

Bouveault-Blanc Step 1
Bouveault-Blanc Reduction

Bouveault-Blanc Reduction Step 2

Bouveault-Blanc Step 2
Bouveault-Blanc Reduction

Bouveault-Blanc Reduction Step 3

Bouveault-Blanc Step 3
Bouveault-Blanc Reduction

Bouveault-Blanc Reduction Step 4

Bouveault-Blanc Step 4
Bouveault-Blanc Reduction

Bouveault-Blanc Reduction Step 5

Bouveault-Blanc Step 5
Bouveault-Blanc Reduction

Bouveault-Blanc Reduction Step 6

Bouveault-Blanc Step 6
Bouveault-Blanc Reduction

Bouveault-Blanc Reduction Step 7

Bouveault-Blanc Step 7
Bouveault-Blanc Reduction

Bouveault-Blanc Reduction Step 8

Bouveault-Blanc Step 8
Bouveault-Blanc Reduction

Bouveault-Blanc Reduction Step 9

Bouveault-Blanc Step 9
Birch Reduction

Birch Reduction Step 1

Birch Step 1
Birch Reduction

Birch Reduction Step 2

Birch Step 2
Birch Reduction

Birch Reduction Step 3

Birch Step 3
Birch Reduction

Birch Reduction Step 4

Birch Step 4