Mechanism
  • Experimental

  • Mechanism

  • H-NMR

  • Leading Question

  • References

  • About Us

  • Home
  • How does it go down?

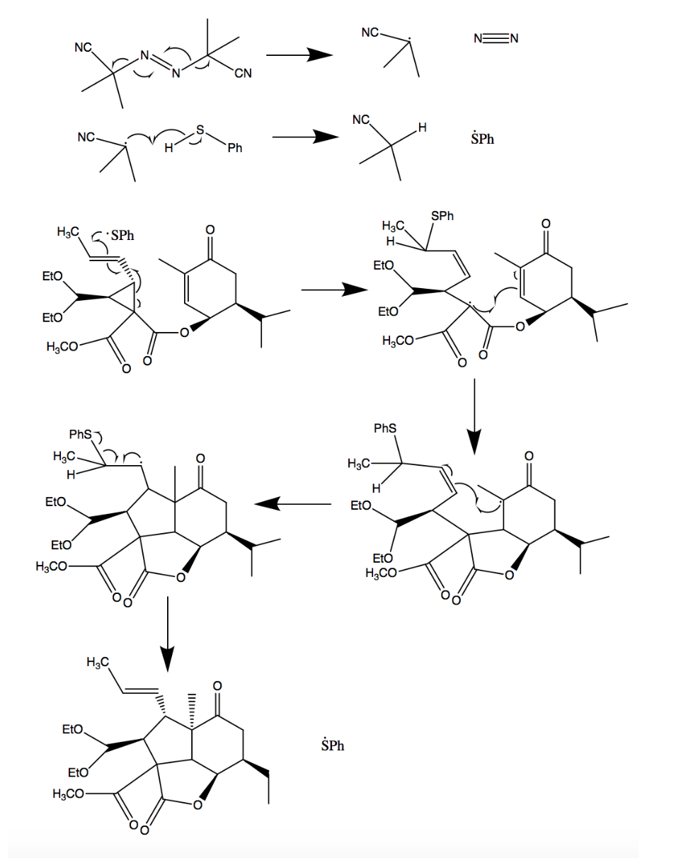
    In the first step of this radical reaction, also known as the initiation step, AIBN undergoes homolysis with the loss of N2 to generate two eqivalents of the isobutryonitrile radical.

    Then the isobutyronitrile radical abstracts a hydrogen atom from PhSH to generate PhS. The thiophenyl radical is the chain carrier that starts each reaction and is regenerated at the end of each reaction.

    The next step, called propagation, occurs when the PhS radical adds to the alkene of the vinylcyclopropane, which leads to the ring breaking open to generate a radical on the carbon bearing the COOMe group. This radical then attacks the alkene of the cyclohexenone piece to generate a new radical. This radical then attacks the double bond between that was formed in the initial addition/ring-opening step to form a new bond and place a radical on the carbon one removed from the top cyclopentane. This radical then undergoes loss of PhS to re-form the double bond in the product and generate PhS.

    Copyright Chem. 215H 2018 Students